OrgPad logo

142VHSO - Vodohospodářské soustavy [DONE]

Created by Nikol Vypior (osobní/personal)

142VHSO - Vodohospodářské soustavy [DONE]

18. Stochastická metoda Metoda Monte-Carlo a její využití ve VH.

17. Riziková analýza. Vazba na spolehlivost. Určení ekonomické efektivnosti protipovodňových opatření.

23. Operativní řízení nádrží za hydrologického sucha – adaptivní řízení s využitím střednědobé předpovědi a dispečerského grafu. Minimalizace ztrát z nedodávky vody.

místo toho 2D matematický model

Kalibace hydrologického modelu

alibracni hydrologicke modely-optimalizacni veliciny, vstupy, stavove veliciny, výstupni veliciny

-ucelova fce - co to je

-omezujici podminky

-jake optimalizacni algorit.se hodi

Systémová věda

teorie

aplikace

systémová analýza a syntéza

Druhy PPO (protipovodňová opatření)

metoda interpolace a extrapolace

metoda analogie

bez retence

technická

ČSN 75 1400 Hydrologické údaje povrchových vod

Deterministické modely/systém

reaguje stejnými výstupy na stejné vstupy

s retencí

standardní údaje

plocha povodí, N-leté průtoky (max průtoky)

1. Definice systému, systémový přístup. Definice, výklad a příklady: statický systém, dynamický systém, deterministický systém, stochastický systém, prvky, vazby, struktura systému, chování systému, vstupy a výstupy systému, stavové veličiny, … ❓✅

2. Definování systému na daném reálném objektu z VH (dle zadání), volba potřebných vstupů, výstupů, stavů systému, způsob zobrazení, způsob řešení. ❓✅

3. Přehled systémových metod a jejich uplatnění ve vodním hospodářství ❓

metoda modelování

nestandardní hydrolog. údaje

N-leté průtkoky mimo stupnici, TPV, 

Vícekriteriální optimalizace

+ praxe 4)- nádrž - více odběratelů s různými stupni zabezpečení- optimalizované parametry, vstupní par., stavové par., výstupní par.,- popis účelové funkce- omezující podmínky- jaké optimalizační metody

dimenzování

objem retenčního prostoru, Qneš, Sv (průtok výpustí)

základní údaje

objednat u ČHMÚ

Model srážko-odtokového vztahu

Statistické

nemáme pod kontrolou, nedokážeme vše modelovat, určitá 

statický systém

stav neovlivněn časem

metody založené na expertizách

Návrhové povodňové vlny = Teoretické povodňové vlny (TPV)

dynamický systém

časově proměnný - veličiny ovlivněny časem, zavisí i na předchozích výstupech

metody založené na teorii pravděpodobnosti a na matematické statistice

Výroba TPV

poldry u České Třebové v soustavě s VD Hvězda

opevněný průlehy

prahy na skluzu BP

výpustné zařízení umožňuje škrcení na návodní straně

na jednom lavice bránící sufozy, zpětné erozi, tvorbě preferenčních cest

Pro odstranění určitého polutantu z odpadní vody se využívají dvě technologie (T1 a T 2). Technologie T1 odstraní 1 g/m3 polutantu a její cena je 2 €/m3. Technologie T2 odstraní 3 g/m3 polutantu a její cena je 3 €/m3. Úkolem je určit cenově optimální podíl obou technologii v ČOV, jestliže se má za den vyčistit minimálně 1000 m3 odpadní vody s odstraněním alespoň 1,5 g/m3 polutantu.

Obecná teorie systémů

nejobecnější vědecké principy existence, popisu a chování systému

ukazatele kvality systému kritérium několika cílů (mají více účelů); zdravé systémy plní cíle v požadované míře

 

Systémová věda

vědní obor, předmětem jsou systémy a metodiky se vyznačují systémovým přístupem

metody systémové vědy umožňují definovat systémy, odlišit je od okolí, zobrazovat je, analyzovat a optimalizovat jejich strukturu a chování

věda výrazně interdisciplinární - systémová teorie a aplikace

členění z VH pohledu:

 

Metoda SCS CN křivek

metody syst. vědy definují systémy

Rozhodovací procesy

Výpočet teoretické povodňové vlny

hydrologický srážko-odtokový model (S-O model)

souvislost srážky a odtoku

předpoklad: N-letá srážka vygeneruje N-letý průtok (nemusí v realitě platit)

tři možné nasycení: průměrné (na to modelujeme), nadprůměrné, podprůměrné

→ POSTUP →

 

 

1. Jaká je hodnota N-leté srážky v dané lokalitě? Maximální 24h (denní) N-letá srážka (překročení)

2. diagregace - návrhové (typizované) hyetogramy

3. výpočet přímého odtoku

 

UFA

ustav fyzika

W. G. Bennis

ukazatele kvality systému kritérium několik cílů (mají více účelů)

hlavní kritérium: schopnost učit se ze zkušenosti a přizpůsobovat se vlastním i okolním změnám

stochastický systém

systém, u kterého známe jen pravděpodobnost, s jakou nastane příslušná hodnota výstupu, jeho chování může mít více variant při stejném stavu i podmětech – např. modelování průtokových řad dle různých scénářů klimatické změny (Wolfova čísla) - např. stanovení QN-letých pravděpodobnostní metodou

sčítání, superponování

Rozhodování zaměřené na hledání optima

Teorie her se jeví jako nadějná metodika i pro řešení víceúčelových VH soustav.

Zpravidla tento postup:

  1. Stanoví se cíl– dosažení jistých parametrů, bezpečnost, spolehlivost, nároky z hlediska přírodního prostředí a podobně
  2. Sestaví se soupis všech možných alternativních cest k cíli
  3. Sestaví se úplný soupis faktorů– technických, ekonomických, mimo ekonomických, ovlivňujících rozhodnutí
  4. Redukuje se počet alternativ jejich analýzou z hlediska důležitosti uvažovaných faktorů– může být zatíženo subjektivním názorem, neboť se často musí pracovat s odhady (umění rozhodovat)
  5. Redukuje se počet faktorů podle zbylých alternativ

Důležitou charakteristikou soustavě spolehlivost její funkce, kterou ve vodním hospodářství nazýváme v určitých případech za bezpečností.

Systém

deterministický systém

pokud známe okamžité hodnoty vstupních veličin a jejich předchozí vývoj, dokážeme jednoznačně určit okamžité hodnoty výstupní fce, nevyskytují se žádné náhodné vlivy  - např. stanovení QN-letých v HEC - HMS

Převedení na monokriteriální optimalizaci

extenze do ArcMapu

Předpovědní služba ČHMÚ

83477F27-44F0-4994-91AB-EEE56B6F3258

Definování systému a jeho tvorba

1.) rozčlenit systém na části a zavést mezi nimi vztahy

2.) zjednodušit jej

 

Postup tvorby:

vstupy, výstupy a chování systému

Vstup = veličiny, které působí na systém – např. průtoková řada v délce X let

Výstupy = veličiny, kterými sytém působí na okolí – např. vliv nádrže s daným Vz na tok

Chování systému = způsob rekce systému na vnější podměty – změnu vstupních veličin

Pro modelování průtokových řad nutno očistit data

teorie nevyjasněné budoucnosti

z počtu variant, aniž bych znala jejich důsledky

16. Deterministický přístup pro určení N-letých návrhových PV. Model HEC-HMS. ❓

Hydrologická data:

- Standardní: Qa, m denní, N leté = základní hydrologická data, musím mít od ČHMÚ ze zákona – poskytne za poplatek

- Nestandardní: teoretické povodňové vlny Q200, Q1000, Q10 000

 

deterministický přístup = není vliv náhody (daná srážka => vyvolá povodeň)

 příčina => důsledek – stoletá srážka vyvolá stoletou povodňovou vlnu

- metoda SCS - CN (CN křivky) – číslo CN křivky určuje množství vody, které povrch zachytí a které odtéká – čím vyšší číslo CN křivky, tím větší odtok – zastavěné plochy kolem 98 => závisí na typu využití území, druhu a nasycenosti půdy, vegetaci, atd.

=> z CN se určí velikost efektivní srážky Hef – ta generuje povrchový odtok

typizované hyetogramy

A9FF4CCD-2611-4D18-80F4-B70EB4E08725

různé epizody

Více N-letých dešťů

Metoda funkce užitku

image

transformace

Chování VH soustav je nedeterminované

lze předvídat jen s určitou mírou pravděpodobnosti

vždy bude potřeba člověka u řízení a bude potřeba člověka u koncepční a tvůrčí činnosti, při níž zatím není úvaha a intuice člověka ničím nahraditelná

Očištění/odovlivnění dat

od:

 

Postup:

1. Data ČHMÚ

2. Provozní data - bilanční ovlivnění 

3. Upravit na očištěná data

4. Tvorba průtokových řad

 

mám 2 profily, udělám korelaci mezi nimi => svislá osa 1 profil, vodorovná 2. profil => regrese, pomocí té očistím řadu průtoků v profilu hráze

+ praxe

popiste řízení nádrže za hydrologického sucha s cílem minimalizace ekonomickych ztrát - popis účelové funkce a optimalizace

Základní postup

metoda SCS

na 10km2

Vícekriteriální optimalizace

více v pptx na moodlu

Model HEC-HMS

do modelu v HEC-HMS nastavíme parametry povodí – číslo CN křivky, % nepropustných ploch, dobu koncentrace, údaje o říčním úseku – příčný profil, drsnost,atd.

- nastavím novou meteorologickou událost – povodňová vlna, např. PV100 => je způsobena návrhovou srážkou H100

- srážku získám z ČHMÚ – 15-hodinový hyetogram – určuje srážkové úhrny rozpočítané procentuálně do jednotlivých hodin trvání srážky => do modelu srážku nahraji tabelárně v kolonce srážkoměr

- pro příslušnou PV musím nastavit příslušnou srážku H => H100 k PV100

- takto si nastavím srážky o libovolné velikosti, které mi způsobí PV o libovolném N-letém průtoku => záleží na datech dostupných z ČHMÚ

- spustím výpočet tím, do povodí pustím libovolnou srážku a sleduji, jakou odezvu způsobí na vodním toku

- zobrazím výsledky => vidím průběh povodně, hydrogram a kulminační průtok = max flow = to je hledaný N-letý průtok

- takto vypočítám všechny požadované PV a sestavím tabulku Q N-letých

- příp. vložím nádrž => sleduji transformace

HEC-HMS

umožnuje práci s nádržemi

můžu mu dát křivky, nebo si je dopočítá (hydrauliku)

VH úlohy

  1. VS existuje a máme optimalizovat její funkci (změnami a řízením jejího provozu)
  2. VS existuje a máme ji doplnit, aby lépe plnila svou dosavadní funkci, nebo aby plnila i další funkce
  3. VS neexistuje, a máme ji navrhnout a ralizovat

Systémový přístup

Ovlivněné průtoky

dle toho co je a jak se manipuluje výše po toku - anropogenní zásah

Systém pro tvorbu protipovodňového opatení (PPO)

1. zohlednit, zda je PPO s nebo bez retence

- bez retence – ohrázování toku, zkapacitnění koryta, mobilní bariéry, odstranění kritických profilů – mostky, propustky, apod.

- s retencí – využit ochranného prostoru nádrže Vr pro transformaci PV, případně zřízení suché nádrže nebo poldru (boční suchá nádrž)

2. zvolit délku časového kroku

Pro PPO bez retence stačí velikost návrhového QN – dle typu chráněného území

Pro PPO s retencí potřebuji časový průběh PV – např. z HEC-HMS dle návrhové srážky – 15-hodinový hyetogram od ČHMÚ

- příp. využít mapy záplavových území

3. do systému nadefinuji všechny prvky PPO – příčný profil koryta, drsnost, délku úseku, parametry nádrže – průměr SV, kóty, atd.

- znát hodnotu Oneš, na něj navrhuji

4. popis chování PV – její transformace => přítok do suché nádrže = vstup, transformovaný odtok = výstup

5. grafy, tabulky = způsob zobrazení výstupu = průběh PV, konzumční křivka, maximální průtok územím = kulminace

6. výběr nejlepší varianty – tj. největší ochrana při nejnižších nákladech, zohlednit morfologii, atd.

=> např. povodeň částečně ztransformuji v poldru, ale odtok je stále větší, než Oneš => zbytek zařídím pomocí zkapacitnění

Komplexní řešení: např. Povodí Odry – Opatření v krajině, systém suchých nádrží,

globální optimalizace

hledání globálního extrému

Metoda vzdálenosti od fiktivní varianty

prvky

hydraulické metody

kinematická vlnová m.

fúzní m.

hydrologické metody

Maskingem-"Káč" 

image

VD Skalička (Bečva)

mka-vd-skalicka.pdf

skalicka-prezentace-starostove.pdf

délka údolnice

délka toku od pramene

minimální dílčí povodí

 

4C8171B0-D104-4DEB-BE56-B86DA6834FBC

Komorův graf

Hind - grafy

ne rychlostní bilance, ale hybnostní bilance

Typy úloh ve VH

+ příklad

ČOV, technologické procesy T1 a T2 T1 ... vyčistí 1 g/m3 za 2 €, T2 vyčistí 3 g/m3 za 3 €. Minimálně kombinací obou tech. p. vyčistit 1,5 g/m3 Je nutno vyčistit minimálně 1000 m3 vody. …obdoba úlohy 2 ze cvika. a) matematická formulace úlohy b) řešení grafickou metodou

bez omezení

Nederivační metody

Derivační metody

kulička v kružnici

Optimalizace funkčních objektů

Podklady:

Princip optimalizace:

19. Simulační modelování, soudobé simulační modely VH soustav, jejich princip, potřebné vstupy. ❓

- simulační modely – pomocí matematických a logických formulací umožňují simulovat chování libovolného reálného systému

-umožňují vyhodnocovat různé zátěžové stavy bez jejich reálného uskutečnění = výhoda pro VH (neslo by s sebou enormní náklady, často neproveditelné)

- např. řešení Vz nádrže – mám Q řadu, simuluji chování nádrže během suchých období

Vstupní údaje do modelů

– průtokové řady – reálné nebo syntetické,

- charakteristiky – objektů, nádrží,

- provozní a manipulační řády,

- údaje o funkčních objektech nádrže, apod.

- požadavky na odběry =požadované nadlepšení On= Op + MZP

cíl = nalezení optimálních hodnot parametrů modelu na základě předem daných požadavků a podmínek pro jeho správné fungování – např. Vz nebo Vr nádrže

- např. dodržet MZP pod nádrží a zároveň odběry pro úpravnu – obojí má svou požadovanou zabezpečenost

- seskupování nádrží do větších soustav – vyšší spolehlivost, efektivnost  - spolupracující nádrže

použitelné softwary:

- omezeně excel – tabulková forma

- Matlab, Simulink = nadstavba Matlabu – modelování samostatných VD i VH soustav

- orientované grafy  - vymezené hranami a uzly; orientované = voda teče jedním směrem – např: plnění povrchových lomů – hydrická rekultivace

- zatopení lomu Libouš – převod z Nechranic = > zvýšení retenční kapacity Nechranic

Hostivař

malé povodí, rychlá doba dotoku

TBD kat. II, ohrožení životů: zabezpečení na 

MZB pouze o 29cm pod kluminační hladinou povodně 2013

ovladatelný BP, stavidlaP

 

image

Slezská Harta

1997 uvedena do provozu, naplněna povodní

Nové VH řešení pro reprezentativní období

Nové Heřminovy

primárně proti povodním a zkapacitnění + suché nádrže

Plavební komora

příčné složky - kolmo na trasu

La-Grange

L (x1,x2,..xn, λ1, λ2,... λk) =f(x1,x2,..xn) + sum λi [gi (y1 ... yn) - bi] = min

Matlab fce "fmincon"

20. Optimalizace simulačních modelů. Návrh řešení pro zadané příklady. ❓

- seskupování nádrží do větších soustav – vyšší spolehlivost, efektivnost  - spolupracující nádrže

- optimalizace modelu = kalibrace - měním vstupní data a snažím se výstup co nejvíce přiblížit skutečnosti

- zahrnout vliv stávajících nádrží na průtokovou řadu => před vstupem do modelu řady nutno „očistit“

- např. závislost stanovení velikosti N-letých průtoků při jejich určování stochastickou metodou – vliv zohlednění extrémní povodně z roku 2002 => poté budou QN vyšší => uvážit, za jakým účel data potřebuji a poté příp. upravit vstupní data

- optimalizace řešení soustavy nádrží Římov a Chlum (výhledová) na Malši – sestavení algoritmu pro optimalizaci – řeším, v jaké pořadí nádrže vypouštět, jak přepouštět vodu, atd.

- zohlednit technické předpoklady stávajících objektů – kapacita přivaděčů, ÚV, zohlednit i vhodný hydraulický návrh objektu

- příp. uvést příklad Hec-HMS – optimalizace poldru

Potenciál Nových Heřminov

Obtokové koryto s rybím přechodem

Nad přehradou rozdělovací objekt

 

Orientovaný graf VH soustavy

7. Lineární programování – řešení zadaných úloh pomocí grafické metody. Formulace problému. ❓

6. Lineární programování, formulace úlohy, výhody, nevýhody, použití, grafická metoda ❓

Rekonstrukce přivaděče Morávka - Žermanice

Vodohospodářská soustava povodí Odry

schema-zasobeni-vodou

80AD8C52-E5C4-4206-A8E2-FA3778CDEE0C

Plavební mapy

s omezením

= množina přípustných řešení

rozdělovací objekt/ uzel

Má svá pravidla

Přivadeče,

11. Nelineární programování (optimalizace s omezením). Formulace problému - účelová funkce, omezení. Metoda linearizace účelové funkce. Metoda Lagrangeových součinitelů. Řešení zadaného příkladu. ❓

Model v systému stanic

Třídy významnosti oběrů

  1.  vodárenské odběry
  2. průmyslové doběry a zajištění MZP
  3. zvýšené MZP a kompenzace z nádrží pro ně
  4. rekreační využití
  5. energetické využití

Vyhláška 67/2015

Nelineární programování

účelová funkce f(x,x1,..xn)=f(x vektor)

omezení: 

g1 (x vektor) ≤ b1

g2 (x vektor) ≤ b2

gk (x vektor) ≤ bk

(ne)lineární (ne)rovnosti, spodní a horní meze

 

Metoda principiální komponenty (PCA)

image

Příklad:

image

Střední scénář klimatické změny v této lokalitě - zůstane stejně vodný

10. Optimalizační metody – simplexová metoda (Nelder, Mead). Princip algoritmu. ❓

Neider-Meadova metoda (simplexová metoda)

image

Princip algoritmu:

Simulační modely

Komplexní manipulační řád

Lineární programování

Zápis účelové fce:

A1*x1+B1*x2 => min
A2*X1+B2*X2 => max

nádrže vždy mají odtokový limnigraf a záznam o průběhu hladin → odvození přirozeného přítoku

Modelování syntetických průtokových řad (pro jednu izolovanou stanici)

Dispečerský graf

Společná spotřebiště

limity střední svislicové rychlosti

17. 2D modelování proudění vody. Základní princip, okrajové podmínky, využití modelu HEC Ras 2D. ❓

Newtonova metoda

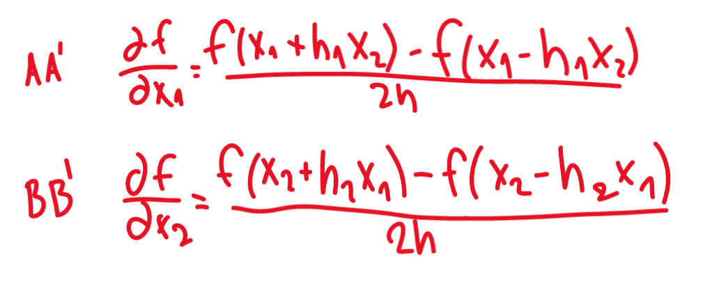
druhá derivace (zmenšení první derivace) účelové funkce - tzv. Hessián (pouze ve 2D) → lze určit konvexnost/konkávnost => tj. poskytuje informace o zakřivení fce v daném bodě

Zabezpečenost odběru

4393813D-DFF4-4927-84CE-97A798D8FAF3

9. Optimalizační metody – Newtonova metoda (využití derivací 2. řádu). Numerická aproximace derivací účelové funkce. ❓

Řešení retenční funkce

VH Hracholusky

výše nádrž Lučina (první v pořadí) - v horním povodí - ovlivňuje přítok? (1/15 povodí, nízké průtoky, téměřbezvýznamné)

Není vodárenská nádrž, zajišťuje odtok pro odběryv Plzni, energetika (Kaplanova t., ročně asi 12GWh, ČEZ), ochrana před povodněmi (ani ne na Q5), rekreační využití včetně platby.

Silně sezónní. (α = 2,3) - po tání se každý rok naplní → předpoklad pro lepší řízení dle dispečerského grafu.

Zásobní funkce:

modely AI

2D modelování

bezpečnost při povodních

musím znát kategorie VD dle vyhlášky (I.-IV.) => podle ní určím velikost kontrolní povodňové vlny, které musí být VD schopno převést – Q100, 10000, 10 000

- získám velikost KPV1000 => stačí jen hodnota kulminačního průtoku

- ověřuji, jestli SV a BP jsou schopny převést Q1000 => z přepadové výšky BP zjistím úroveň hladiny v nádrži = to bude KMH (Kontrolní maximální hladina)

- z posudku bezpečnosti VD zjistím MBH (Maximální bezpečnou hladinu) – je dána stabilitou VD, je těsně pod korunou, s převýšením proti vlnám

- KMH porovnám s MBH => pokud je KMH<MBH => VD je bezpečné

- pokud je KMH > MBH => VD není bezpečné, musím upravit návrh = např. zvýším korunu hráze, instaluji vlnolam, prodloužím přelivnou hranu BP, přidám nový, snížím úroveň zásobního prostoru, apod.

Strategické řízení

Simulace - Pravděpoodbnostní pole

Pravděpodobnosti, kde se budu pohybovat = Pravděpodobnostní pole

Metoda nejvyššího spádu (gradientní metoda)

X(k+1) = X(k) - α g(k)

α je parametr - koeficient posunu - jak moc kulička spadne 

image

ve 2D:

výslednice gradientu je směr

image

operativní řízení za povodní

přítok do nádrže => na základě hydrometrických a srážkoměrných měření (limnigrafy), srážko-odtokové modely

- operativní data =>slouží pro operativní řízení při povodních/suchu, vstupy do VH dispečinku, odtud řízena manipulace na jednotlivých VD a řízení odtoku (předvypouštění, manipulace SV a BP, apod.) – ČHMÚ, srážkoměry a limnigrafy jednotlivých podniků povodí

- režimová data – neslouží pro řízení ale pro návrh VH soustav a pro optimalizaci strategického řízení => jak velký Vz, Vr, apod. = průtokové řady

pokud mám kvalitní meteorologickou předpověď => jsem schopen určit další průběh povodně (alespoň cca 72 hodin dopředu pro efektivní manipulaci) => navýším odtok až klidně na hodnotu Oneš = předvypouštění

=> tím snižuji hladinu v zásobním prostoru, vytvářím prostor pro akumulaci PV => významně se zvýší transformační účinek nádrže, povodeň mohu při efektivním a včasném před vypouštění celou transformovat na hodnotu Oneš

=> riziko nekvalitní předpovědi – snížím Hz a povodeň bude méně intenzivní, než čekám => nenaplní se zásobní prostor nádrže, přijde suché období a voda bude chybět => v létě nastane porucha v dodávce = „těžká nevděčná práce dispečerů“

- cíle OŘ při povodních: oddálit kulminaci = poskytnout čas pro postavení mobilních zábran, zajištění majetku, apod. snížit kulminační průtok => menší škody, příp. ztransformovat až na Oneš

- uplatní se dispečerský graf – zjistím, kolik můžu předvypustit ze zásobního prostoru, abych měl jistotu, že i když bude povodeň menší, tak se Vz na jaře opět naplní a nedojde k poruše v dodávce vody

Řízení

Taktické řízení

8. Optimalizační metody – metoda největšího spádu. Numerická aproximace gradientu účelové funkce. Umět formulovat účelovou funkci pro zadaný problém a vybrat vhodnou optimalizační metodu. ❓

kulička v neomoezeném prosoru

Hledání optimálního doplnění (průběhu doplnění) (vícekriteriální)

Všechny možnosti hledaných hodnot hladin - generování každý s každým (po 10cm) a následující stejně nebo výš.

(Výpočet 2,5 dne na školním PC :D )

Výpočet se zabezpečenostmi, poté seřadit dle MŘ dle více parametrů. (ehm, Excel)

vliv délky řady na režimovou funkci

fce reálné řady (pro 41 let) není u mediánu funckí syntetických řad! ačkoli by tak měla fungovat. Syntetické řady mají velký rozptyl při délce 41 let.

Modelujeme řady dlouhé - výrazně menší rozptyl funkcí syntetických řad, blíží se reálné řadě.

Návrhová řada co nejblíže mediánu

Genetické modely

řešili jsme dříve

SW

HEC-RAS 2D, MIKE21, WMS, ...

přenastavit typ vlny v nastavení výpočtu

nastavení výpočtu

Optimalizace nádrže s více odběrateli

diferenční náhrady, numerické řešení

image

- pokud nemám účelovou funkci zadanou analyticky (pomocí rovnici) => nemůžu jí zderivovat => musím použít metodu:

derivační náhrady

- původní funkci nahradím interpolačním polynomem, ten již lze klasicky derivovat => derivaci považuji za přibližnou hodnotu derivace původní funkce

=> při užití derivačních náhrad použiji  +h a  –h => vznikne interpolační polynom na obě strany od hodnoty X

- abych zjistil jednotlivé členy matice, řežu obdélníček různými směry (řez A) a sestavuji matici

image

image

Vyhodnocení doplnění zásobního prostoru při řízeném předvypuštěním

image

Jak postupovat?

 

HEC-RAS 2D

bez diakritiky

oblast: USA

operativní řízení za hydrologicého sucha

snížení odtoku na Qmin = MZP – velikost dle metodického pokynu MŽP dle velikosti Q m-denních

- hospodaření s vodou v soustavě – převody vody z jiného povodí, kompenzační řízení, apod.

Střednědobá předpověď

- hydrologická předpověď v řádech dnů – týdnů – zjistím, kolik vody lze očekávat na přítoku do nádrže, podle toho případně snížím odběry

- sestavím simulační model – Matlab, příp. Simullink – volím začátky a míry omezování odběrů z nádrže => vyhodnocuji ztráty, podle toho určím dispečerskou úroveň Vz

- výstup modelu = rozhodovací matice odtoku (odběru) v málo-vodném období = optimalizace

Využití dispečerského grafu

- udává, kolik vody potřebuji v každém měsíci v nádrži, aby v budoucnu nedošlo k poruše v dodávce vody => když jsem s hladinou pod ním => určím, o kolik musím snížit odběr, abych se vyhnul poruše => tj. vím, na jakou úroveň můžu v každém měsíci nejvíce snížit hladinu v zásobním prostoru

Minimalizace ztrát

- zavedu dispečerskou úroveň hladiny v zásobním prostoru nádrže – vycházím z dispečerského grafu

- nastane málo-vodné období => přítok do nádrže se snižuje, odběry a MZP dotuji z Vz

- pokud je málo-vodné období delší => s objemem Vz se dostanu na zavedenou dispečerskou úroveň => skokově snížím odběry (snížím dodávky s nižší významností – třeba pro třídu 4 –nižší odběr např. pro závlahy, apod.), odběry s vysokou požadovanou zabezpečeností pokud možno zachovat

- omezením odběrů snížíme rychlost poklesu hladiny v nádrži => oddálíme případnou poruchu, úplná nedodávka (při ní jsou nejvyšší ztráty) bude trvat kratší dobu

- tím vznikne objem nedodané vody = nedodávka => finanční ztráta

- pokud postupuji podle dispečerské úrovně, vznikne menší ztráta, než pokud bych nechal Vz zcela vyprázdnit a došlo by k poruše v dodávce vody – pak by finanční ztráta skokově narostla a její celková hodnota by byla vyšší

- při zavedení dispečerské úrovně bude sice nedodávka delší, ale ztráty budou nižší

- čím delší nedodávka, tím ztráty strměji narůstají

Operativní řízení

 

Metoda sítě (Ferdy Mravence)

systematické prohledávání

oblast omezení se rozdělí sítí a v každém bodě sítě (střed čtverečku/obdélníku) se vypočítá účelová funkce. Pak se vybere čtvereček s minimem a zase se rozdělí sítí a znova se spočítá účelová hodnota. Takhle to jede až do nastaveného konvergenčního kritéria

výhoda: jednoduchost

nevýhoda: délka výpočtu, problematické u více prostorů ( fce více proměnných) pro které se hledá n hodnot

př. Josefův Důl - optimalizační úloha

image

uplanění náhrad

nemusím analyticky, můžu geometricky

1980 = hydrologický rok 1981

Dispečerský graf (DG)

použití DG:

image

 

image

georeferencovaný tiff pro hec

Toolbox → Data Manager → TIN → Create TIN

převod trojúhelníků (vektor) na rastr

Conversion → TIN to rastr → Sampling distance (cell size 1mx1m)

export georefencovaný tiff

Nový projekt

write initial condition (rst file)

Protiporuchová čára

abych neudělala chybu v dodávce vody

na začátku každého měsíce taková náplň,aby byla daná zabezpečenost

Metoda alternujících proměnných

částečně odstraňuje nedostatek sítí ve vícedimenzionálních prostorech, kdy se jedna proměnná zafixuje a optimalizuje se druhá. Až se dooptimalizuje, fixne se tahleta druhá a optimalizuje se ta první

konvergenční kritérium

jak dlouho má iterovat?

dva druhy:

Optimalizace pouze na energetiku (monokriteriální)

Křivka nejlepší výroby  → v létě maximální hladina (moc tam neteče, nepřijde nic nazbyt), v zimě může jít mnohem víc (chci 

účelová funkce s 12 hodnotami

Simulace s pomocí fce "ga" [matlab]

účelová funkce s 12 hodnotami

na konci chci maximální sum Energie

Genetický algoritmus

 

image

Princip:

  1. Kódování
  2. Nultá generace – v prostoru náhodně vytvořím body (jedince) o souřadnicích [x1,x2] – vytvořím náhodný počet h
  3. Selekce např. ½ jedinců – vybírám dle jejich ohodnocení tj. dle nejlepších hodnot účelové funkce 
  4. Křížení = výměna části řetězců mezi 2 jedinci – křížíme pomocí vhodného algoritmu
  5. Iterační cyklus
  6. Mutace

kódování

image

l - počet 

00000 .... a1

00001 ... a1 + δx1

00010 ... a1 + 2δx1

11111 ... b1

 

J1 = 001 11 010 01

 

flow hydrograph

byplnit sklon čáry energie v horní podmínce, obvykle 1 promile

operativní data

slouží pro operativní řízení při povodních/suchu, vstupy do VH dispečinku, odtud řízena manipulace na jednotlivých VD a řízení odtoku (předvypouštění, manipulace SV a BP, apod.) – ČHMÚ, srážkoměry a limnigrafy jednotlivých podniků povodí

21. Operativní řízení nádrží – dispečerský graf. Princip, sestrojení, způsob řízení nádrže. ❓✅

Postup

image

nemusím ho mít každý měsíc

křížení

ty vybrané skřížím

J1: 10100 11101  a J2: 11000 00101

náhodně vyberu část ze struktury a prohodím je

můžu říct, od jaké do jaké pozice

 

selekce

kolik jich vezmu, kolik jich nechám být

třeba 50%

DTM

TIN povrch

Výpočtový krok

1s

mapování výsledku po 5min

Pořadnice

image

pro jednotlié měsíce udává kolik vody musí být ve Vz, aby bylo schopno bez poruchy zajistit odběry

Sestrojení dispečerského grafu

1. simuluji chování nádrže => zjišťuji náplně Vz v jednotlivých měsících (postupně bilanční metoda) => tím zjistím málovodná období

2. od konce málo-vodného období měsíc po měsíci určujeme objem vody, který je nutné mít v nádrži pro zajištění On, aby na konci málo-vodného období byl Vz prázdný (tím stanovím, kolik potřebuju vody) – postup opakujeme pro všechny roky sledování nádrže – tj. všechny sezóny

– v matlabu by se to řešilo pomocí cyklu for (předem známe konečný počet opakování cyklu), využiji LP – účelová fce musí být minimální => použiju while, abych zjistil Vz, pro které už nenastane porucha

3. stanovený nutný objem VZ vyneseme do grafu a spojíme pro jednotlivé měsíce => horní obálka všech nutných Vz = DG => protiporuchová fce

diskrétnost

Protipřepadová křivka (energetická)

může se vyplatit hodně snížit hladinu (díky velkému přítoku)

(operátor) mutace

Boundary conditions

Náhodné (stochastické) procesy ve VH

13. Základní typy rozdělení pravděpodobnosti procesů ve VH. Posouzení shody empirického a teoretického rozdělení. Pravděpodobnostní grafy. ❓

VN dle cyklu

Časový interval povyprázdnění a následného naplnění nádrže = doba T

CpVvg7QndKhaRGdgvCRcXT

potřebný zásobní objem (stanovení)

Boolenova funkce

0 a 1 - pravda, nepravda

Sezónní/roční

spojitost

fce normplot = normálový papír

Matlab fce "std" - směrodatná odchylka

genetický algoritmus - jak to vypadá?

IMG 20221025 182753

25. Algoritmy řízení VH soustav - spolupráce sezónní a víceleté nádrže za využití dispečerského grafu.❓ ✅

image

Celkové požadované nadlepšení = nadlepšení ze sezónní + nadlepšení z víceleté VN → spolupráce nádrží, vzájemně se doplňují

Algoritmus pro optimalizci vychází z dispečerského grafu (DG) sezónní nádrže

Náplň zásobního prostoru sezónní nádrže je NAD pořadnicí DG v daném měsíci:

plň zásobního prostoru sezónní nádrže je POD pořadnicí DG v daném měsíci:

if Vzs=úroveň DG
nech oba odtoky stejné
else
if Vzs<úroveň DG
zvyš odtok z víceleté: Vzv+Δk a sniž odtok ze sezónní Vzs- Δk
else sniž odtok z víceleté: Vzv- Δk a zvyš odtok ze sezónní Vzs+ Δk
end
end

fce norminv

x = norminv(p,mu,sigma) returns the inverse of the normal cdf with mean mu and standard deviation sigma, evaluated at the probability values in p.

12. Genetické algoritmy. Princip, formulace metody. ❓

Víceleté nádrže

denní průtoky asymetrick

postupně měním koef. λ po nějaké velikosti

Normální pravděpodobnostní papír (plot)

  1. určit empirickou distribuční funkci
  2. urči hodnoty normální proměnné pro empirické kvantily
  3. kvantil kvantil (Q-Q) plot

image

Místo minima hledám maximum?

Vynásobit účelovou funkci mínusem!

Základní rozvaha při návrhu zásobní funkce nádrže. Kdy je řízení odtoku sezónní a kdy víceleté.

 

Ah341bZtpBwYzOhP rQIrk

24. Algoritmy řízení VH soustav - postupné prázdnění nádrží v soustavě, prázdnění v daném poměru, optimalizace. ❓✅

Markovův řetězec

image

význam pro

Časové řady

 

Matlab generování náhodných čísel

Základní soubor

náhodný proces v celém rozsahu

Normální Gaussovo

image

image

Podstata řešení VH soustav

normalizace dat s jiným pravděpodobnostním rozdělením

Box-Cox

Rovnoměrné rozdělení pravděpodobnosti

image

Distribuční funkce bude přímka (načítá konstantu)

Výběr o omezené délce

image

Poissonův proces

Parciální diferencíální rovnice (stochastické)

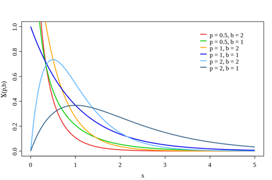
Gamma rozdělení pravděpodobnosti

image

 

Teorie odhadu

na základě výběru odhadnout pravděpodobnostní vlastnosti výběru - chci maximálně jako toho základního souboru

Typy rozdělení pravděpodobnosti

hledám nejpřiléhavější průběh

Logaritmicko-normální rozdělelní

v ČR pro průtoky - tří parametrické 

Rozložení pravděpodobnosti

image

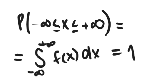
Hustota pravděpodobnosti

image

Plocha pod celou hustotou = 1 

image

na teoretickém základě budu hledat hodnoty

Matlab "dfittool"

okno pro posuzování vhodnoti typů pravděpodobnosti pro data

Pearson III

tří parametrické asymetrické rozdělení pravděpobnosti

pro stanovení Nletých průtoků, např. USA

Logaritmický Pearson

v USA pro průtoky

Distribuční funkce

image

Čára překročení

image

Cyklus "for"

Význam: Pro i od 1 do n opakuj následující = čítač cyklů

Syntaxe:

for i = 1:n
... příkazy ...
end

Použití:

1. Při výpočtu Vz nádrže

- pro stanovení velikosti náplně zásobního prostoru Vz na konci každého měsíce průtokové řady – vzorec max(min) při postupně bilanční metodě – do cyklu for definuji podmínku postupně bilanční metody, cyklus provede výpočet pro všechny měsíce Qm a potom skončí s posledním => délka cyklu je definována počtem měsíců průtokové řady

 

používáme, pokud je předem známý počet iterací „n“ => víme, kolikrát se mají provést příkazy,

- předem definovat n = počet iterací – např. velikost matice průtokové řady při řešení Vz – n=length(a)…zjistí počet měsíců průtokové řady (už po transformaci na vektor)

- proběhne od hodnoty 1 do n => for i=1:n

- měněné veličiny musí mít index i => v případě řešení Vz: odtok z nádrže = R(i)

- musí vždy končit příkazem end

- ze vstupního vektoru o velikosti n si v každé iteraci i vezme 1 hodnotu, pro ní provede nadefinovaný cyklus

- po vyčerpání všech hodnot vektoru cyklus končí

Kvantil

image

14. Teorie odhadu. Základní metody pro určení parametrů. Metoda momentů. Metoda maximální věrohodnosti.❓

dobrý odhad musí mít: nestrannost, vydatnost, konzistentnost, dostatečnost

- spojitá náhodná veličina je popsánSa hustotou pravděpodobnosti, nebo distribuční funkcí

- pozorujeme veličinu X, chceme o ní získat informace – odhadneme ji

- čím více dat, tím se rozložení více přimyká k průměru

 

Metoda momentů

- není imunní vůči systematickým chybám

- slouží k určení statistických veličin – rozptyl, smodch., součinitel variace a asymetrie

- používáme centrální momenty a obecné momenty k-tého řádu

- obecný moment 1. řádu => zjistím střední hodnotu (průměr) náhodné veličiny

- znám rozložení pravděpodobnosti => zvolím jeden bod v rozložení a z něj získám popisné statistiky => dle statického momentu plochy pod grafem

- vychází ze statických momentů plochy => z mechaniky

 

- spočítám obecné a centrální momenty => z nich můžu podle daných vzorců spočítat popisné statistiky v závislosti na spočtených momentech

- centrální moment 2. řádu = rozptyl => z něj odmocnina = směrodatná odchylka

- pro součinitele variace a asymetrie jsou vzorce v závislosti na momentech 2. a 3. řádu

- jednoduchá metoda - pro konstrukci bodových odhadů neznámých parametrů (rozptyl smodch, součinitele var. a asym.)

- potřebujeme znát typ rozdělení pravděpodobnosti

- sestavím takový počet rovnic, jako je počet neznámých parametrů

 

Metoda maximální věrohodnosti

=Fisherova metoda

- odhady získané touto metodou mají dobré statistické vlastnosti

- z daného výběru určíme parametry základního rozdělení

- používá se k odhadu parametrů teoretického rozdělení pravděpodobnosti při testování hypotéz a ve vektorové analýze

- mám data a na ně se snažím napasovat křivku rozdělení hustoty pravděpodobnosti

- křivka závisí na datech, která mám a na parametrech p1 až pk

=> parametry p1-pk nastavím tak, aby co nejlépe vystihly rozložení dat (analyticky, numericky)

 

Metoda momentů

střední hodnota, rozptyl,..

 

Odhad parametrů rozdělení pravděpodobnosti

15. Stochastické metody určení N-letých průtoků a určení N-letých návrhových povodňových vln. Vhodné typy rozdělení pravděpodobnosti.❓

- podklad = soubor ročních maximálních průtoků v daném profilu

- soubor se seřadí sestupně (v matlabu fce sort ascend), určí se jejich počet (length)

- každému ročnímu průtoku se přiřadí pravděpodobnost překročení dle Čegodajeva

 m…pořadí v řadě ročních maxim, n…celkový počet členů řady

=> sestavím empirickou distribuční fci

- řešením empirické distribuční fce je graf: vodorovná osa = průtoky Qmax od nejmenšího po největší, svislá osa = proměnná P z Čegodajevova vzorce

- vhodné typy rozdělení pravděpodobnosti: Normální rozdělení, Gamma rozdělení

- určíme parametry rozdělení – každé z nich má příslušnou fci v Matlabu

- testujeme shodu mezi empirickou a teoretickou čarou překročení – např. test Kolmogorov – Smirnov – porovnání s tabulkovou hodnotou  pro zvolenou hladinu významnosti alfa

=> vybereme rozdělení pravděpodobnosti, kde se distribuční funkce nejlépe shoduje s empirickou => tu použijeme pro výpočet QN-letých

- definujeme vektor s N-letými průtoky: N=[1 2 5 10 20 50 100 1000 10 0000] => pomocí inverzní funkce ke gamma rozdělení vrátíme kumulativní fci zpět na hodnoty průtoků

Určení návrhových povodňových vln

- při posuzování bezpečnosti VD při povodních – pro kategorie I. a II. dle vyhlášky o TBD => nutno posoudit na průchod KPV Q1000 nebo Q10 000

- provádíme logaritmickou extrapolací základních hydrologických dat (N 1, 2, 5, 10, 20, 50,100) => z nich vypočteme Q1000 a Q 10 000

- standardně je používáno tří-parametrické logaritmicko – normální rozdělení – metoda dle ČHMÚ

konfidenční interval

image

4. Tvorba algoritmu na zadanou úlohu (postup, vývojový graf, algoritmus) ❓

Cyklus "while"

Význam: kovergenční kritérium, kdy musím pokračovat v zpřesňování

Syntax: 

w

hile podmínka
... příkazy ...
end

Použití:

1. Při výpočtu režimové fce nádrže (velikost Vz pro různé zabezpečenosti a různá požadovaná nadlepšení)

- pokud vyjde zabezpečenost podle trvání menší než požadovaná, příkaz while navýší zásobní objem o dV (předem definován v algoritmu= číslo) a znovu spočítá zabezpečenost => takto stále dokola, dokud zabezpečenost nevyjde větší, než požadovaná

2. při výpočtu prvního plnění nádrže (úloha s lomem Medard)

- předem neznáme dobu, za jakou se lom naplní => neznáme počet iterací => použiji while

- řídí délku převodů vody, dokud se zásobní objem nádrže zcela nenaplní => vložení proměnné zarážka = k (poslední den, kdy je zajištěno naplnění lomu)

- po kroku, kdy je již lom plný se pomocí příkazu while převody přeruší

počet iterací - counter

používáme, pokud neznáme konečný počet opakování, pro která chceme provést příkaz (nevíme počet měsíců)

- iterace probíhají stále dokola, dokud je platná podmínka v cyklu while

- lze použít i jako vnoření do cyklu if

distribuční funkce

5. Základy programování. Princip psaní programů v MATLAB. Základní příkazy IF, WHILE, FOR.❓✅

Matlab = maticová laboratoř

Okno Command window – komunikace s programem, slouží pro načtení všech proměnných v algoritmu – načtení vstupních dat – Qřady, HFV křivky, výparné výšky, vstupní hodnoty Vz, atd. ve formě matic, vektorů nebo číslech hodnot

Proměnné lze zadat jako:

číslo – do množinových {}

vektor – řádkový a= (1 2 3)/sloupcový b=(1;2;3)

matici – c=[1 2 3; 4 5 6 ] – řádky oddělím středníkem

=> načtení hodnoty matice v 1. řádku, 2. sloupci: u=c (1,2) (u=matice c (řádek,sloupce))

Tvorba programu

- do záhlaví algoritmu stručný popis programu, co řeší, popis vstupních proměnných

- pokud dám před text symbol % => zezelená, funguje jako vložení komentáře, nemá vliv na algoritmus

- každá proměnná = matice, import dat => převedu na sloupcový vektor: funkce Reshape (název matice, n – počet prvků – musím předem zavést, 1 – počet sloupců nového vektoru)

 

Metoda maximální věrohodnosti (maximum likely hood)

1C71142B-8BE9-4E88-81D3-35AB33BC05A0

 

fce "gamfit"

odhad parametrů funkce gama

fce "gamcdf"

empirická čára

délka, seřadit, přiřadit pravděpodobnost

Režimová funkce nádrže

image

Sestavení algoritmu pro výpočet zásobního objemu nádrže

Vstupní data:

 - řada průměrných měsíčních průtoků ve sledovaném profilu (příp. očištěná)

- velikost požadovaného nadlepšení On = odběr Op+MZP – dle metodiky MŽP a Qm-denních

- charakteristiky nádrže – čára zatopených ploch a objemů

- manipulační řád daného VD, rozložení prostorů v nádrži – kóty a objemy

- pokud řeším nádrž s třídou významnosti A => nejprve namodeluji syntetickou průtokovou řadu (ze 100 let pozorování udělám 1000)

- velikost výparu (tabulka pro jednotlivé měsíce)

Zadání počátečních podmínek:

- na začátku simulace předpokládám plný Vz nádrže

- zvolím délku kroku = 1 měsíc => určím časový krok dt (měsíc v sekundách)

- zadám hodnoty výparu

- příprava vstupních matic – size (Q) zjištění dimenze matice průtokové řady =její délka = počet měsíců; reshape = průtokovou řadu převedu na svislý vektor

- zavedu proměnnou porucha = počet poruchových měsíců, na začátku ji vynuluji

 

Řešení Vz nádrže - postupně bilanční metoda

image

V(i+1)…zásobní objem – další krok
Q(i)…přítok do nádrže – řada Qm
On…požadované nadlepšení
dt…délka časového kroku (průměrný měsíc v sekundách)
Zv…ztráta výparem
Vz…původní hodnota zásobního objemu

- pomocí fce for (vím, kolik mám členů řady) a if (načítám poruchy) řeším bilanci a počítám poruchové měsíce

- fce Interp1 – dle polohy hladiny v m n. m. zjistím plochu z HFV křivek, tu použiji pro zjištění výparu

- dle počtu poruchových měsíců zjistím zabezpečenost dle trvání

- zjistím počet poruchových let – z počtu měsíců => spočítám zabezpečenost dle opakování

Zabezpečenost dle opakování:       

m…počet bezporuchových roků
n…počet roků průtokové řady

- postupně měním vstupní hodnotu Vz a počítám zabezpečenost => pokud se dostanu na požadovanou Pt  dle třídy významnosti nádrže => mám Vz

- pomocí fce plot vložím graf náplní Vz –vodorovná osa = měsíce, svislá = objem VZ, příp. kóta hladiny – „cik-cakuje“

Režimová funkce nádrže V=f(Op, Pt)

- určuje, jaká je souvislost mezi požadovaným nadlepšením On a odpovídajícím Vz v nádrži

- čím vyšší nadlepšení => tím vyšší Vz potřebuji v nádrži

- s ohledem na požadovanou zabezpečenost Pt (jak často dojede k poruše v dodávce vody) => čím vyšší zabezpečenost, tím vyšší Vz potřebuji

Podmínka "if"

Význam: Platí podmínka, stanou se příkazy, ze else se stane když podmínka neplatí

Syntaxe:

if podmínka
... příkazy ...
(else
--- příkazy jiné --- )
end

-zajistí, aby se stanovené příkazy vykonaly pouze v případě, pokud je splněna zadaná podmínka => pracuje s logickou 1 a 0 (splněna/neslněna podmínka)

- stejný princip, jako fce když v MS Excel

- nejprve se otestuje podmínka definovaná za if, poté se provedou příkazy uvnitř (vybere se příkaz pro vyhovující/nevyhovující stav podmínky if)

-  příkazem else se oddělí vyhovující/nevyhovující stav, zakončím příkazem end

Použití:

1. při výpočtu poruchových měsíců při stanovení Vz nádrže: pokud je odtok z nádrže R v dílčím měsíci < požadované nadlepšení => počet poruch se zvýší o 1

R(i)…odtok v jednotlivých měsících; On…požadované nadlepšení…většinou konstantní

If R(i)<On

                        Porucha=porucha+1;

            Else

                        Porucha=porucha+0;

End

2. při výpočtu MZP v jednotlivých dnech výpočtu – dle metodického pokynu MŽP, vychází z m-denních průtoků => několik podmínek if pro velikost MZP => více vyhovujících podmínek = > oddělím je příkazem else if




Test Kolmogorova-Smirnova

0ECBB85B-EE14-4889-B50E-84F25126E616

Dα - vzorec s n (počet prvků)

Výpočet doby opakování N-letých průtoků [EXCEL kalkulačka]

lepší, univerzální

fce reshape

+ k čemu?

Testování hypotéz (Posouzení shody empirického a teoretického rozdělení)

Neparametrické testy

Pearsonův test

chí kvadrát

49BA2FBB-FB3F-4DA5-9D4D-BDFD83017713

výpočet Q1000

provádíme logaritmickou extrapolací základních hydrologických dat (N 1, 2, 5, 10, 20, 50,100) => z nich vypočteme Q1000 – nepotřebuji hydrogram, stačí pouze kulminační hodnota Q1000 pro posudek bezpečnosti při povodních

- standardně je používáno tří-parametrické logaritmicko – normální rozdělení:

zamrznutí Matlabu - obnovení: CTRL+C

obvod je podprogram

Bernštajn

M file (.m)

function [ S,O ] = obsah_obdelniku(a,b)
% OBSAH toto je program pro vypocet obsahu obdelniku
% a ... sirka obdelniku [m]
% b ... delka obdelniku [m]
% S ... obsah obdelniku [m2]

S = a*b;
O = obvod(a,b);

end

chci matici po sloupcích

B=reshape(B,n,1)

příklad: vyhodnocení povodňové vody

příklad: mám krátkou průtokovou řadu a chci stanovit průtok Q1000

EC702153-5E1A-45D7-B2C6-6785E73CA8AD

* úloha o ceny *

image

Vliv nádrže na hydrologický režim toku

Obrázek WhatsApp, 2022-10-24 v 18.26.14-8

Obrázek WhatsApp, 2022-10-24 v 18.26.13-7

Velká ztráta průtoku při plnění nádrže

Vliv špičkové MVE bez vyrovnávací nádrže

Snížení maximálních průtoků a zvýšení minimálních průtoků (mimo návrhovou zabezpečenost)

IMG 20221019 151035

Obrázek WhatsApp, 2022-10-24 v 18.26.13-2

Obrázek WhatsApp, 2022-10-24 v 18.26.13-4

Obrázek WhatsApp, 2022-10-24 v 18.26.13-6

Obrázek WhatsApp, 2022-10-24 v 18.26.13