37) Oxidačně-redukční děje a výpočty z rovnice
Created by Martin Krejzek

Příklady oxidačních činidel

Příklady

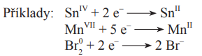
Příklady




Oxidace

- Oxidace je chemická reakce, při které oxidovaná látka ztrácí elektrony, tzn. oxiduje se
- Oxidační číslo prvku roste

Oxidační činidlo
- Oxidační činidlo je látka, která je schopna oxidovat jinou látku
- Při reakci oxidační činidlo přijímá elektrony a samo se redukuje
Výpočty z chemických rovnic



Příklady

Rozdíl

Oxidačně - redukční děje

- Jsou reakce, při kterých dochází k přenosu elektronů mezi látkami
- Přitom se mění oxidační čísla některých atomů
- Jsou to také děje, které probíhají vždy současně
- Proto se nazývají oxidačné-redukční nebo krátce redox reakce
Procvičení


Výsledky

Redukční činidlo
- Redukční činidlo je látka, která je schopna redukovat jinou látku
- Při reakci redukční činidlo odevzdává elektrony a samo se oxiduje
Redoxní rovnice
- Pro úpravy redoxních rovnic platí důležité pravidlo:
Příklady redukčních činidel

Redukce

- Redukce je chemická reakce, při které redukovaná látka přijímá elektrony, tzn. redukuje se
- Oxidační číslo prvku klesá

Disproporcionace
- Je speciální typ redoxní reakce, při které se stejný prvek oxiduje i redukuje
Příklady








Příklad


Příklady

37) Oxidačně-redukční děje a výpočty z rovnice