OrgPad logo

Senzorické procesy (čití)

Created by Roman Mraček

#psychologie

Senzorické procesy (čití)

Wilhelm Wundt

- zakladatel psychologie, rozlišoval mezi čitím a vnímáním

- počitky - nedělitelné jednotky zkušenosti - charakterizuje je kvalita a intenzita (př. počitku: jasně

   červená barva; kvalita: barevnost, intenzita: jasnost

- vjemy - vznikají kombinací počitků

Dnešní psychologové

- dnešní psychologové – sdílejí názor gestaltistů

- vjemy jsou komplexní psychické fenomény, které nelze považovat za pouhou sumu jednotlivých počitků

- počitek se používá pro označení mentální odezvy na jednoduché, zpravidla přesně definované vnější

   podněty (např. počitek zelené barvy)

- senzorická modalita - vztahuje se ke kvalitě psychických jevů zprostředkovaných jednotlivými smysly

   rozdíl mezi senzorickými procesy a vnímáním = rozdíl v úrovni poznávacích procesů

- čití: proces získávánísyrových informací“z vnějšího i vnitřního prostředí a jejich transformování do podoby

   nervových impulsů, které mozek dále využívá

- percepce je organizace a interpretace senzorických informací, které nám umožňují pochopit jejich význam

- hranice mezi čitím a vnímánímnení příliš jasná

 - naše dnešní porozumění senzorickým procesům je výsledkem dlouholetého úsilí lékařů, biologů, inženýrů a

  psychologů

- v 19. stol se zkoumání senzorických procesů věnovala hl. PSYCHOFYZIKA = vzájemné vztahy mezi vnějšími,

   především fyzikálními, podněty a jejich psychickou odezvou

Ernst Weber (1795 – 1878) - výzkum rozdílového prahu

Gustav Fechner (1801 – 1887) - žák Webera, zavedl pojem absolutní podnětový práh

Hermann von Helmholtz (1821 -1894) - fyziolog, lékař, vědec

 - vynálezce oftalmoskopu (přístroj k vyšetření vnitřních částí oka)

 - stanovil rychlost vedení nervového impulsu (50-100 m /s)

 - teorie barevného vidění

 - teorie místa (vysvětluje vnímání výsky tónu)

Smyslové orgány

SMYSLOVÉ ORGÁNY (analyzátory) - probíhá v nich čití, skládají se z receptorů, dostředivého (aferentního) nervu a příslušné senzorické oblasti v mozku

Psychologické přístupy

Exteroreceptory

informace z vnějšího prostředí; je to zrak, sluch, čich, hmat  a chuť

- zrak, sluch, čich – informace o vlastnostech podnětů přicházejících ze vzdálenosti –

veškeré údaje o vlastnostech předmětů získáváme na základě tzv. proximálních

podmětových vzorců, které předměty vysílají ke smyslovým orgánům

Transdukce

= transformace podnětů

- smyslové receptory jsou tvořeny specializovanými buňkami nebo volnými nervovými zakončeními; každý

  z receptorů reaguje na určitý druh fyzikálních, chemických či biochemických podnětů

- mozek rozumí jen elektrochemickým impulsům – každý receptor tedy musí „přeložit“ své sdělení do tohoto

   jazyka = transdukce

- nervové vzruchy ze smyslových receptorů, kromě nosních, putují do thalamu (zadní část mezimozku), který

  rozvádí informace do příslušných částí oblastí mozkové kůry, kde jsou dále zpracovávány

- při rozesílání informací z thalamu se uplatňuje křížení (levá část ->pravá hemisféra, prává část -> levá

   hemisféra) – informace jsou ale přístupné oběma hemisférám díky corpus callosum = svazek nervových vláken,

   který umožňuje komunikaci mezi hemisférami

- neurony z nosních receptorů putují do čichového bulbu pod čelními laloky a odtud do dalších oblastí mozku

AFERENTNÍ SENZORICKÉ NEURONY – kódují intenzitu a kvalitu podnětů prostřednictvím vzorců nervových vzruchů, na základě kterých je mozek může dešifrovat

- intenzitu vzruchu určuje frekvence nervových výbojů a jejich pravidelnost (slabší podnět – méně)

- kvalita podnětu  - složitější kódování – pro různé kvality jsou různé nervové dráhy, důležitost hraje i cílová

  oblast v mozku, do které informace doputují

- některé údaje o kvalitě podnětu vznikají teprve v mozku na základě porovnání dat se zkušeností

Senzorické procesy (čití)

- patří mezi kognitivní procesy (stejně jako vnímání, učení, paměť…)

- schopnost registrovat podněty z vnějšího i vnitřního prostředí – lidské smysly = mostem mezi vnějším světem a lidskou psychikou

Obecná charakteristika smysl. orgánů

Receptory

RECEPTORY

- zákl. vlastnosti: citlivost (senzitivita) vůči změnám vnějšího či vnitřního prostředí – potřebujeme věnovat

   pozornost všemu novému, abychom určili nebezpečí

- u dlouhotrvajících neměnných podnětů se citlivost naopak snižuje = senzorická adaptace

- obsahují specializované buňky reagující na fyzikální, chemické nebo biochemické podněty (např. sluchový

   podnět je vlnění vzduchu, které vyvolá chvění x zrakový podnět je elektromagnetické světelné vlnění,..)

- Weber a Fechner - senzitivita smyslů má své hranice = podnětové prahy

Interoreceptory

informace z vnitřního prostředí (tělesné změny)

Proprioreceptory – registrují pohyb, polohu a rovnováhu těla (změny mého těla)

Visceroreceptory – změny v trávení, dýchání, vylučování, sexu a dalších tělesných procesech (změny v mém těle mimo vědomou kontrolu)

Podnětové prahy

- Weber a Fechner - senzitivita smyslů má své hranice = podnětové prahy

Horní

= nejvyšší intenzita podnětu, na kterou analyzátory reagují ještě vznikem

počitku (specificky) příslušné kvality, tzn. specificky - při vyšší intenzitě senzorická odezva nevznikne nebo reaguje nespecificky – bolestí (pokud podnět poškozuje tkáně)

Teorie nestability

- vysvětlují nestabilitu absolutních i rozdílových prahů

Absolutní

= nejnižší intenzita podnětu, která vede ke vzniku příslušného smyslového počitku (ještě ho dovedu vnímat)

 - určuje se experimentálně: sérií podnětů, jejichž velikost kolísá kolem prahové hodnoty

 - jeho stanovení je obtížné, pohybuje se v oblasti, kdy ho testovaná osoba někdy zachytí

    a jindy ne – je to ovlivněno nervovým hlukem (šumem), únavou, kolísáním

    pozornosti, motivací

 - nervový šum - spontánní aktivita vznikající nezávisle na vnější stimulaci, zhoršuje

    schopnost detekce podnětu

 - definuje se jako úroveň intenzity podnětu, kterou jedinec zaregistruje v 50%

    prezentací

 - i přes značné rušivé elementy lze konstatovat, že je práh nízký – smysly jsou

   mimořádně citlivé

 - příklady podnětových prahů – McBurney a Collings (např. zrak – plamen svíčky 50 km

    od pozorovatele / sluch – tikot hodin 6 m /chuť – gram soli v 500l / čich – kapka

    parfému v třípokojovém bytě / hmat - pád včelího křídla na tvář z 1cm)

 - citlivost smyslových orgánů se mění v důsledku senzorické adaptace

Teorie detekce signálu

- vnímání určitých motivů je ovlivněno motivy, očekáváním a vlastnostmi daného jedince

- roli hraje i nervový šum

- ověřováno experimentálně – člověk sedí v prázdné místnosti a vnímá záblesky světla a tóny

- 4 druhy reakcí            podnět (tón)                 reakce osoby

Zásah                         ano                              ano     

Planý poplach                ne                              ano

Chybění reakce           ano                              ne

Správné zamítnutí       ne                                ne

- čím hlasitější tón, tím více zásahů. U tišších tónů hraje roli nervový šum

- roli dále hraje: typ instrukce,  motivace osoby (odměna,..), vlastnosti jedince.

- závěr: čití ovlivňuje nejen citlivost smyslových orgánů, ale i řada vnitřních faktorů.

- využití: výzkum paměti, lékařská diagnostika

Teorie adaptační úrovně Harryho Helsona

- senzorická adaptace = snížení citlivosti smyslových orgánů; je výsledkem déle trvající stimulace

- adaptace na konstantní podněty je potřebná – nenesou žádné nové informace

   - zabýval si tím už Weber – experiment – jedna ruka do studené, druhá do teplé – potom do vlažné – každá

      ji vnímala jinak

- psycholog Harry Helson(1898 – 1977)

   - teorie: „senzitivita smyslových orgánů není stabilní, ale mění se na základě působení předchozích podnětů“

   - přizpůsobení se určitým podnětům se stává vztažným rámcem, který umožňuje registrovat změny

     působících podnětů

- adaptační úroveň (nivó) je úroveň stimulace, které jsme přivykli = nulový bod, od něhož se odvíjí  

   posuzování dalších podnětů

- smyslové orgány se liší schopností adaptace - adaptace na bolest je slabá

Rozdílový

= nejmenší rozdíl mezi dvěma podněty různé intenzity, který vede ke vzniku dvou počitků či vjemů

- operacionálně se definuje jako taková změna velikosti podnětu, kterou je subjekt schopen zaregistrovat v 50 %

   pokusů

- průkopníkem byl - Ernst Weber

   - zjišťoval nejmenší rozlišitelný rozdíl – nechal účastníky srovnávat závaží

- na základě mnoha pokusů stanovil nejmenší rozdíl mezi standardním a srovnávaným podnětem, který byly

   zkoumané osoby schopny postřehnout, tzv. nejmenší rozlišitelný rozdíl

- rozdílový práh se mění v závislosti na velikosti standardního podnětu

- věnoval se i dalším experimentům – zjišťoval rozdíl mezi teplotami, jasností světel,..

Metoda přímého odhadu

Stanley S. Stevense (1906 – 1973)

- měření senzorické zkušenosti založené na subjektivním odhadu intenzity podnětu (testovanému je na

   začátku dán výchozí podnět, kterému je přiřazena numerická hodnota; veškeré další podněty pak

   posuzuje ve srovnání s tímto výchozím podnětem a přiřazuje jim dle toho hodnoty)

- potvrdila výsledky výzkumů vnímání jasnosti světla Webera a Fechnera

- výsledkem bylo objevení tří typů psychosenzorických funkcí – ukazují, že existuje rozdílná citlivost vůči

   různému druhu – má sebezáchovný význam

Kompresivní funkce  - týká se posuzování jasnosti světla

s rostoucí intenzitou podnětů se jeho jasnost subjektivně zvyšuje po stále

   menších a menších kvantech

Koresponduje s Weber – Fechnerovým zákonem

Lineární funkce - týká se posuzování délky úseček, odhad koresponduje se skutečností

Expanzivní funkce - týká se posuzování intenzity elektrošoků

- opačná tendence než u většiny senzorických podnětů – i malý přírůstek je posuzován jako veliké zvětšení

Weber – Fechnerův zákon

„Vzrůstá–li intenzita podnětu řadou geometrickou, roste intenzita počitku řadou aritmetickou.“

P = k logI       (P – intenzita počitku, k – Weberova konstanta, I – intenzita podnětu)

- tento zákon říká, že se přírůstek intenzity podnětu subjektivně zdá být o něco nižší, než odpovídá jeho –

přírůstku vyjádřenému ve fyzikálních či chemických hodnotách

- neplatí pro všechny typy podnětů

- reakce amerického psychologa Stanley S. Stevense (1906 – 1973)

   - přelom 50. a 60. let, nový způsob měření, americký psycholog

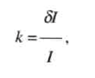
Weberův zákon

Weberův zákon: „Při vyšších intenzitách podnětů se tedy rozlišovací schopnost lidských smyslových orgánů snižuje“

 

image 

- k – Weberova konstanta, δI – přírůstek intenzity odpovídající nejmenšímu rozlišitelnému rozdílu

   podnětu, I – intenzita standardního podnětu)

- ale neplatí úplně přesně - nejlepší rozlišovací schopnost má sluch, nejhorší chuť

- Fechner - zobecnil Weberovy poznatky