OrgPad logo

Půda a voda

Created by Nikol Vypior (osobní/personal)

143HPVO

#143HPVO, #HPVO, #Hydraulika podzemní vody, #YGPV, #hydraulika, #kolektor, #napjatá hladina, #pedogeneze, #pedologie, #podzemní voda, #proudění, #průsak, #studny, #tlak, #volná hladina

Půda a voda

deuteriový přebytek

image

HPVO

Hydraulika podzemní vody

Věda a technika o přítomnosti a pohybu vody v plně a trvale nasyceném podpovrchovém zemském plášti.

Úzké vazby na hydrogeologii, hydrologii, hydropedologii, mechaniku zemin, zakládání vodních staveb (přehrady, jezy,říční zdymadla...), povrchovou hydrauliku, podpovrchovéstavby (tunely...), zemědělské vědy (eroze, odvodňování,zavlažování), kontaminační hydro(geo)logii, ekologii, sanaciznečištěných lokalit, skládky, stavby pro bydlení (např.Nizozemí)...

Plně nasycená půda vodou je pod HPV.

Vodní bilance

Suma přítoků — suma odtoků = změna objemu vody ve zvodni

image

Odtoky

cze - eng slovníček

Hydrologický cyklus a půda

image image

Kapilární třáseň (fringe)

plně nasycená zóna nad hladinou podzemní vody díky kapilárním silám v abs. hodnotě větším než je odpovídající kapilární tlak pro největší pór. (vstupní hodnota vzduchu na retenční čáře půdní vlhkosti)

Přítoky do zvodně

Studny

Zdrojový propad

odběr vody z kolektoru

Galerie, otevřené příkopy podpovrchová drenáž

podélný propad vody

Izotopové datování PV

Stabilní izotopy

imageimage

imageimage

3-složková separace

imageimage

imageimage

Proudění vody v podzemí

image

Nad HPV je nasycení částečné a objem proměnlivý.

Přírůstek přirozených

Infiltrace - ztráta při zavlažování

Interakce mezi povrchovou vodou a kolektorem

Řeky mohou drénovat (většinou) nebo doplňovat (výjimečně) podzemní vodu

image

Stopovače v hydrologii

Izotopy v molekule vody

imageimage

imageimage

imageimage

image

image

Izotopová separace odtoku

image

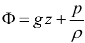
Potenciál proudění

image

image

Rozdílný potenciál a spojitá propustná cesta jsou podm. k pohybu - místa s většímm potenciálme do místa s nižším potenciálem.

Zákonitosti pohybu

image

Doba zdržení PV

image

Infiltrační nádrže

image

Prameny

Prameny s vysokou vydatností výrazně ovlivňují proudění podzemní vody v okolí.

image

Přirozené

Dostupné ionty a sloučeniny: např. Ca2+, SiO2, DOC

Izotopy: především stabilní 18O, 2H

Globálně rozšířené látky (antropogenní činností): např. 3H-3He, freony (CFC)

Sledování cest odtoku

image

Kombinované použití přírodních izotopů

Cesty odtoku

image

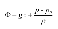
Hydraulická výška H

V hydraulice PV počítáme s hydraulickou výškou:

image

Stáří PV

Doba od posledního kontaktu s atmosférou

látka transportována jako voda

Datování PV

image

Kapilární potenciál

Tenká trubice je vložena do půdy. Kapilární potenciál je vzorkován v porézním podtlakovém kalíšku a měřen nad terénem (rtuť, manometr) s uvážením poklesu tlaku s rostoucí výškou (dig. transducer měří přímo v místě vzorkování bez dalšího přepočtu)

Celkový potenciál (poloha+sání) pak může bý referencován např. k terénu

image

Měření hydraulické výšky: piezometr

image

Pohyb PV pod jezem

image

Výpar

ztráta vody z holé půdy, otevřené vody nebo sněhové pokrývky do atmosféry

Transpirace

ztráta vody z půdy rostlinami do atmosféry

Transmisivita

koeficient průtočnosti zvodně vyjadřuje průtok vody jedním metrem zvodně o výšce B při jednotkovém hydraulickém gradientu.

image

Transmisivitu lze použít pouze při zjednodušeném popisu proudění podzemní vody, kdy zanedbáváme vertikální složku rychlosti.

Hydropedologie

Určení směru proudění skupinou piezometrů

image

Evapotranspirace

Pedologie

Mechanika zemin/ geomechanika

Hydrogeologický izolátor

horninové těleso, jehož propustnost je ve srovnání s bezprostředně sousedícím horninovým prostředím natolik menší, že se v něm gravitační voda může pohybovat mnohem nesnadněji za stejných hydraulických podmínek

Propustnost

image

image

Potenciální evapotransp.

je možná, když je rozhraní (povrch půdy) po celou dobu plně zásobováno vodou.

Skutečná evapotransp.

na základě meteorologických faktorů (nižší než potenciální)

Specifická storativita - zásobnost

Vyjadřuje schopnost pórovitého prostředí uchovat v sobě určité množství vody.

image

Specifická storativita = objem vody, který se uvolní z jednotkového objemu porézního prostředí při jedntkovém poklesu hydraulické výšky

image

Storativita - koeficient zásobnosti

imageimage

image

Metoda sítí - Finite diference method

Metoda sítí je nejčastěji používanou metodou při simulování problémů proudění podzemní vody a transportu polutantů. Výhodou metody je, že je poměrně jednoduchá a snadno srozumitelná.

Modelovaná oblast je pokryta pravoúhlou sítí se systémem uzlů. Uzly mohou být umístěny na průsečících linií sítě anebo ve středech buněk. V oblasti obklopující každý uzel jsou parametry oblasti a také získané simulované hodnoty konstantní.

image         image

image

Metoda konečných prvků - Finite element method

Metoda konečných prvků je z hlediska matematického řešení mnohem složitější než metoda sítí. Řídící rovnice nejsou diskretizovány přímo, ale problém je vyjádřen nejprve ve formě tzv. variační formulace. V jednotlivých konečných prvcích je hledaná veličina (např. hydraulická výška) aproximována speciálními interpolačními funkcemi.

Metoda vede opět k soustavě algebraických rovnic pro neznámé uzlové hodnoty. Ve srovnání s předchozí metodou je výsledná soustava rovnic složitější. Výhodou metody je, že nedostaneme pouze hodnoty v izolovaných uzlech sítě, ale jsme schopni spočítat hodnotu hledané veličiny v každém místě oblasti (kontinuální aproximace hledané veličiny).

Jednotlivé dílky sítě se v případě této metody nazývají prvky. Nejobvyklejším tvarem je trojúhelník nebo čtyřůhelník při dvourozměrném problému nebo čtyřstěn pro trojrozměrnou oblast.

Výhodou je lokální zahuštění sítě.

image

Hydraulika podzemní vody

Hydraulika

Hydrogeologická struktura

strukturně a geologicky vymezené prostředí, ve kterém dochází k infiltraci, akumulaci a odvodnění podzemní vody

Hydrogeologický kolektor/zvodeň

horninové těleso, jehož propustnost je ve srovnání s bezprostředně sousedícím horninovým prostředím natolik větší, že se v něm gravitační voda může pohybovat mnohem snadněji za stejných hydraulických podmínek

Klasifikace zvodní

image

Numerické metody

Nejužívanějšími metodami pro řešení řídících rovnic proudění vody jsou metoda sítí a metoda konečných prvků.

Principem numerických metod je nahrazení spojité oblasti proudění diskretizovanou oblastí, která je tvořena sítí tvořící buňky anebo konečnými prvky. Řídící parciální diferenciální rovnice jsou aproximovány soustavou algebraických rovnic, jejichž tvar odpovídá vybrané numerické metodě. Soustava rovnic je dále doplněna popisem okrajových a počátečních podmínek. Výsledná soustava algebraických rovnic je následně vyřešena buďto přímo anebo za pomoci iterační metody.

Volná zvodeň

přírůstek objemu nastává nárůstem hladiny vody

označení hydraulické výšky jako h (x,y)

analytické modely

Analytická řešení existují většinou pro velmi jednoduché problémy.

nevýhody:

výhody:

Analytická řešení úloh proudění vody jsou často velice složité matematické výrazy např. ve formě nekonečných řad apod.

image

MODFLOW

image

Verifikace je potvrzení, že modelový nástroj (napť. MODFLOW) dává správné vysledky ve srovnání s analytickým řešením. Např. výhoda MODFLOW je, že byl za 40 let použit patrně na milionech realizací různě po světě, ač je to konstrukčně starší software

Kalibrace je proces ladění reálného světa na matematickou reprezentaci úpravou různých materiálových charakteristik - Optimalizace může být ruční — pokus omyl, nebo automatická, tzv. inverzní modelování, např. známé hodnoty hpv, ke kterým hledáme odpovídající hodnoty hydraulické vodivosti (lze využít spec. spolupracují software, napr. PEST (Parameter ESTimation)

Validace je proces potvrzení, že kalibrovaný model je správný v porovnání s jeho výstupy na nezávislé sadě dat, na které nebyl kalibrován

Citlivostní analýza je proces měnění hodnoty parametru/ů a sledování chování modelu (změny/rozsahu jeho výsledků) — parametry, které jsou na změnách závislé více či méně, ovlivňující stabilitu, přesnost výpočtu

Software

image

Artézská zvodeň

image

Napjatá zvodeň

přírůstek nastává nárůstem tlaku

označení hydraulické vyšky jako H nebo Ø

modelování

model = prostředek představující zjednodušenou verzi reálné situace.

Řešení soustavy rovnic se provádí:

numerický simulační model

Termín numerický model používáme, je-li soustava parciálních rovnic doplněná okrajovými a počátečními rovnicemi (matematický model) řešena numericky.

výhody:

Vytvoření numerického modelu může představovat docela složitý a nákladný proces, zejména v případě řešení velmi komplexních problémů a může být zapotřebí získat velké množství dat.

Numerické modely jsou nezbytné pro řešení složitých problémů. Modely umožňují efektivní využití dostupných terénních dat a umožňují vyhodnocení vlivu různých aktivit v oblasti zájmu na procesy, které analyzujeme. Numerické modely nám umožňují provádět zasvěcená rozhodnutí a formulovat plány budoucího využívání oblasti.

image

Přesnost a limitzace matematických modelů

Numerický model je vždy pouze aproximací skutečné situace. Vzhledem ke zjednodušením a předpokladům přijatým v rámci konceptuálního modelu nemohou být výstupy numerických modelů exaktní. Kvalita simulačních výsledků závisí především na přesnosti vstupních dat.

Rozlišujeme dva typy chyb:

Pro práci s numerickými modely musí mít uživatel určitý stupeň znalostí, aby byl schopen model aplikovat, ověřit jeho správnost a správně interpretovat simulační výsledky.

Numerické modely jsou limitovány svou komplexností. Pro velké složité úlohy je zapotřebí mít k dispozici velké množství dat a jsou zapotřebí rychlé počítače.

Hydroizohypsa

= spojnice bodů se stejnou úrovní volné HPV měřené ve stejném čase

Zákon zachování hmoty

Množství vody akumulované v elementárním objemu začal si je rovno množství vody do omylu přitekla- množství vody vyteklé za stejný časový interval

Pórová rychlost

image

Hydroizopieza

= spojnice bodů se stejnou piezometrickou úrovní HPV měřené ve stejném čase

cíl modelování PV

Častým úkolem inženýrů v oblasti řízení režimu proudění podzemní vody je předpovědět chování systému po provedení plánovaných změn v oblasti. Musí být schopni zodpovědět otázky týkající se akceptovatelného množství odebírané podzemní vody, umístění studní, časový rozvrh odběrů, stanovení zóny dosahu, jaké budou změny v poloze hladiny při zvýšení odběrů, kam až se tyto změny budou propagovat. Tyto odpovědi je možné získat pomocí numerického modelu.

Analýza režimu proudění vody ve složitých systémech

Řízení režimu proudění podzemní vody

Remediační opatření

laboratorní měření

image

U.S. Geological Surwey

Trajektorie

Pohybová rovnice

Řešení inverzní úlohy

Stanovení hydraulické vodivosti (příp. storativity, tramsmisivity) ze vzorců nebo na základě měření charakteristik proudění podzemní vody.

Metody určení hydraulické vodivosti:

fyzikálně odvozené vzorce

image

Proudnice

křivka, pro jejíž každý bod platí, že tečna v tomto bodě má směr vektoru rychlosti. Proudnice se vztahují k jednomu časovému okamžiku, v případě ustáleného proudění jsou totožné s trajektoriemi.

Trajektorie

dráha, kterou částečka vody proběhne v proudovém poli za časový interval (t1, t2). Tato trajektorie je definovaná makroskopickou rychlostí – je tedy fiktivní, nerespektuje strukturu pórů.

image

Rovnice kontinuity

imageimage

Darcyho rychlost

image

terénní měření - čerpací zkoušky

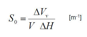
Ks a S_0

Princip spočívá v odběru vody z jedné nebo více studní a v současném měření poklesu HPV v pozorovacích vrtech umístěných v okolí. Vyhodnocení měření je založeno na teorii nestacionárního rotačně symetrického proudění.

Výhoda této metody stanovení hydraulických parametrů zvodně spočívá v tom, že při pokusu je ovlivněn velký objem horniny a získáme tedy hodnoty charakterizující velmi dobře prostředí.

Dělení:

Čerpací zkouška při neustáleném proudění

Nejčastější způsob provádění spočívá v čerpání konstantního množství vody ze studny při současném měření polohy HPV v pozorovacích vrtech. Zaznamenává se pokles hladiny v závislosti na čase.

image

Vyhodnocení čerpací zkoušky při konst. odběru podle Theise

V homogenním izotropním kolektoru s napjatou hladinou o konstantní mocnosti B se provádí čerpací zkouška s konstantní vydatností. Z úplné jímací studny o poloměru ry se čerpá konst. Množství vody A, před čerpáním byla ve zvodni piezometrická úroveň H, ve vzdálenosti r, je umístěn pozorovací vrt, ve kterém se měří pokles hladiny s v závislosti na čase.

image

Vyhodnocení se provede tak, že do grafu stejného měřítka jako má studnová funkce vyneseme průběh poklesu hladiny v závislosti na čase v pozorovacím vrtu. Nejlépe je tento průběh nakreslit na průhledný papír a potom tuto křivku položit na graf studnové funkce tak, aby naměřené body byly co nejlépe studnovou funkcí proloženy. Přitom musíme zachovat rovnoběžnost os.

imageimage

čerpací zkouška při ustáleném proudění

Při tomto způsobu provádění zkoušky je cílem čerpáním docílit rovnováhu mezi přítokem do studny a odběrem vody. Při zkoušce se měří čas, odebírané množství vody a poloha hladiny v pozorovacích vrtech. Po dosažení ustáleného stavu - konstantní odběr při neměnných hladinách v pozorovacích vrtech - se provede vyhodnocení na základě teorie ustáleného rotačně symetrického proudění.

image

Vyhodnocení podle Theise

V homogenním izotropním kolektoru s napjatou hladinou o konstantní mocnosti B se provádí čerpací zkouška s konstantní vydatností. Z úplné jímací studny o poloměru rg se čerpá konst. Množství vody O, před čerpáním byla ve zvodni piezometrická úroveň H, ve vzdálenosti r, je umístěn pozorovací vrt, ve kterém se měří pokles hladiny s v závislosti na čase.

image

U.S. Department of the Interior

Proudové pole

Ekvipotenciála

křivka kolmá na proudnici

konstantní hodnota hydraulické výšky

Počáteční podmínky

musíme definovat při řešení neustálené úlohy, charakterizují stav proudění v celé řešené oblasti v počátečním čase ( t=0) sledovaného procesu.

Schematicky můžeme počáteční podmínku definovat zápisem:

image

3D proudění PV

image

image

Darcyho zákon

imageimage

image

Zobecnění Darcyho zákona:

image

Měření Ks

image

image

Homogenita

Ve všech bodech stejná hodnota hydraulické vodivosti

empirické vzorce

image

Postupová doba částice

je doba, za kterou urazí částečka vody vzdálenost L v pórézním prostředí.

image

Tortuozita

poměr mezi skutečnou dráhou, kterou urazí částice v pórézním prostředí, a trajektorií.

image

Hodnota tortuozity je 1,3 — 2,0. Její hodnota se dá určit pomocí porovitosti jako t =n(-1/4)

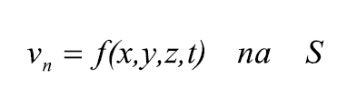
Okrajové podmínky

musíme definovat při řešení neustálené i ustálené úlohy, charakterizují, jak je proudění vody uvnitř oblasti ovlivněno okolním prostředím, definují interakce popisovaného systému na hranicích oblasti proudění. Okrajové podmínky musí být známé po celý časový interval řešeného problému.

image

image

image

image

image

image

image

Řešení úloh

Koeficient nasycené hydraulické vodivosti Ks

image

Řešení praktických úloh

image

image

Zjednodušení

Platnost Darcyho zákona

image

Heterogenita

nehomogenní prostředí - hodnota hydraulické vodivosti se liší dle polohy

image

Izotropní

Anizotropní

složky rychlosti:

image

Tenzor hydraulické vodivosti

definuje hydraulickou vodivost neizotropního prostředí

image

složka K_xy, vyjadřuje příspěvek k rychlosti ve směru osy x vyvolaný jednotkovým hydraulickým gradientem ve směru osy y

V neizotropním prostředí se vektor rychlosti odklání od hydraulického gradientu.

image

Tlak v klidu

2D proudění PV - hydraulický přístup

HYDRAULICKÝ PŘÍSTUP je takový přístup k řešení úloh proudění podzemní vody, kdy zanedbáváme vertikální složky rychlosti a předpokládáme, že proudění má převážně vodorovný směr.

Při zavedení hydraulického přístupu budou proudnice vodorovné přímky a izolinie piezometrické výšky svislé přímky.

imageimage

Kolektor s napjatou hladinou

image

Laplaceova rovnice:

image

Hlavní osy anizotropie

= směry, ve kterých hydraulická vodivost dosahuje maximální a minimální hodnotu

image

tlak

Tlak aktivní

S vlivem evaporace/infiltrace

image

Dupuitovy postuláty

  1. Hydraulická výška H (x,y,z) je rovna hladině podzemní vody h (x,y) (a na svislici je konstatní)
  2. Hydraulický gradient dán sklonem hladiny h a na svislici je konstatní (Sklony HPV jsou většinou velmi malé)
  3. Proudnice jsou vodorovné přímky, ekvipotenciály svislice

image

image

image

Půdní typ

Kolektor s volnou hladinou

image

Boussinesquova  rovnice:

image

Tepelný režim

Struktura a pórovitost

Tlak pasivní

Nestacionární proudění v kolektoru s volnou hladinou

Popsáno Boussinesqovou rovnicí

Předpoklady odvození:

image

Řešení průsaku hrází - Dopuit

image

image

Girinského potenciál

Používá se k řešení soustavy studní, využívá princip superpozice:

image

Proudová síť v blízkosti toku

image

Půda

přírodní útvar, vzniklý na rozhraní litosféry s atmosférou nebo s hydrosférou. Je biologicky oživená a členěná na horizonty.

tíha

Mateční půdotvorný substrát

= mateční hornina = půdotvorný substrát

Půdní voda a vzduch

image

Studna u toku

image

image

image

Fyzikální a mechanické vlastnosti půdy

Ustálené p. v k. s volnou hladinou

image

image

image

image

Soustavy studní

= skupina studní, které se navzájem ovlivňují (dosah jedné studny se překrývá s dosahem alespoň jedné další studny)

image

image

Definice studen

image

Proudová síť u nepropustné stěny

image

Pedogenetické procesy

silně ovlivňovány vlhkostí a teplotou půdního prostředí → obojí závislé na klimatických poměrech

Zrnitost půdy

Reynoldsovo číslo

Klasifikace zemin

Pavlovského metoda

image

image

image

image

image

i pro drény

image

image

Studny u hranic - metoda imaginárních/fiktivních studní

image

image

Studna u nepropustné stěny

image

image

Podnebí

s volnou hladinou a přetokem

image

image

v k. s napjatou hladinou a s přetokem

image

image

image

image

Provedení vrtu pro jímání

image

Dosah studny R = 3000 z odm(K)

Humufikace

Odumřelé organické látky obsažené v půdě se nazývají humus, bez ohledu na jejich živočišný, rostlinný nebo mikrobiální původ. Tyto látky nezůstávají v půdě nezměněné, podléhaji za spolupůsobení mikrobiální půdní složky různým rozkladným a syntetickým procesům převážně biochemické povahy, kondenzaci, polymeraci, atd. Jejich složení, vlastnosti i množství se neustále mění, stupeň přeměny je rozličný. Jsou v různé míře složkou půdní, promíšení není pouze mechanické povahy, vytvářejí se mnohdy složité organominerální sloučeniny a komplexy. V humusu se tedy objevuji:

1. složky původní organické hmoty

2. produkty životní činnosti organismů

3. organická hmota přeměněná humifikačním pochodem

Pavlovského metoda

image

Rotačně symetrické proudění

image

Druhy

image

Chemické vlastnosti půdy

Klasifikace půd

Rašelinění

Předpoklady výpočtů

image

Úplná studna

Ustálený stav: hladina ve studni h0, ustálená výška HPV HR ve vzdálenosti R (dosah studny)

image

image

Neúplná studna

image

image

Půdní typy v ČR

Artézská úplná studna

image

image

Artézská neuplná studna

image

Bonitace zemědělských půd

Aquifers Explained

Unconfined and Confined Aquifers

Recharge and Surface Water Interaction