142NVS - Nádrže a vodohospodářské soustavy
Created by Nikol Vypior (osobní/personal)
Zápisky z přednášek a příprava ke zkoušce
.....
Legenda:
Zelené očíslované buňky = zkušební okruhy
Červené = k dodělání
#PPO, #abraze, #ekologie, #minimální zůstatkový průtok, #nádrže, #odběry, #povodně, #protipovodňová opatření, #průtoky, #přehrady, #přítoky, #statistika, #voda, #vodní hospodářství, #vodní stavby, #vodohospodářská soustava, #vodárenství, #zabezpečenost

abrazní sruby
- návrhová povodeň z pohledu chráněného území - chci ochranu na Q50
- potřebuji hydrogram TPV_50
- návrhová povodňová vlna pro.......
- kontrolní povodňová vlna - nebude překročená Mezní bezpečná hladina
- dle druhu hráze a kategorii TBD
bleskové, přívalové povodně
- do nasyceného povodí
- doména malých horských povodí
Vliv na své okolí
- změna hydrologie
- plošší mdenní průtoky

- splaveninový režim - nechodí za odtokem - hladová voda - zahlubuje se koryto
průtoková
regionální
- dlouhotrvající vydatné deště
- tání sněhu
přirozené
Nové Heřminovy
- na začátu nádrže rampa - sedimenty budou vozit pod vývar
- rybí přechod
v době mrazů
- ledové nápěchy, bariéry
- koryto zaroslé ledem
Povodně
ledová
Kdy nádrž bude největší?
a) nádrž v profilu
b) vyhodnocuji kolik může dávat nadlepšenía to pouštím pořád + přítok (jaký přítok má danou zabezpečenost - čára překročení průtoků)
c) nádrž šetří vodou, když je velký přítok z mezipovodí, neposílá tolik


a) profil přímo v odběrném místě - pojmu i bouřky, které by byli v mezipovodí
zvláštní
v době oblevy
- ledové zácpy, koryto zaroslé ledem, odchod dnového ledu
Kompenzační řízení používáme pouze pokud nelze vybudovat nádrž v OP (odběrném profilu)
aktivní zóna ZÚ
- Část která přivádí rozhodující průtok a ohrožuje se tak život lidí a majetek v tomto území
- Když tam něco postavím tak to vzduch vodu a zvětší se tak ZÚtakže se tam nesmí stavět
32. Operativní řízení nádrží při povodních. Využití meteorologických a hydrologických předpovědí.
Operativní řízení
- Pohotové účinné a cílevědomé působení na objekt řízení v kratších časových intervalech
- Kladou se ještě vyšší nároky a to tak aby bylo optimální
- Realizace v kratších časových intervalech– několikadenních denních několikahodinových hodinových– jde tak vesměs o diskrétní řízení v diskrétním čase a na diskrétním matematickém modelu
Operativní řízení v reálném čase
- Rozhodnutí je odvozené ze změřených aktuálních dat a matematického modelu ještě použitelné v měnících se provozních podmínkách
- podmínky neurčitosti– nahodilost vágnost podmínek jevů a procesů
-
záplavová území
- území zasažená N-letou vodou
31. Průchod povodňové vlny suchou nádrží. Vysvětlit princip návrhu a průběh povodně, kdy co kudy odtéká.
Převod vody

např. VD Přísečnice
Kompenzační řízení odtoku
- mezipovodí (s neřízeným, přirozeným odtokem) mezi odběrným profilem (Op) a kompenzační nádrží, kde kontroluji přítok z povodí
- Qk - odtok z kompenzační nádrže - pro doplnění přirozeného odtoku z mezipovodí
- Tau - doba dotoku mezi nádrží a profilem = postupová doba

1. Návrh - měsíční krok
On = Qn + Ok
Ok = On - Qn = On - (Qop - Qk)
Ok by mohlo vyjít záporně, ale vždy musí jít MZP (Qmin_k)

VH řešení (bilance přítok, odtok): P = Qk → odvodím Vz
2. Operativní řízení - denní krok
- jedu podle času t = den
- nárazová nádrž - vyrovnává případné deficity
Poldry, suché nádrže
- zpravidla boční nádrže
- plnění jen dočasné, za povodní - snižuje průtok v toku
- vyprízdnění po po přechodu povodně
- dno zpravidla obhospodařováno
33. Posuzování bezpečnosti vodních děl při povodích. Kontrolní povodňová vlna. Kontrolní maximální hladina. Mezní bezpečná hladina.
heis.vuv mapa → podklady pro srážkodotokové poměry
25. Současná míra ochrany území. Co to je, jak se vyjadřuje a jak se stanoví.
26. Návrhová míra ochrany před povodněmi. Jak se stanoví.
přeliv Hostivař, Orlík
21. Kompenzační řízení odtoku. Návrh potřebného objemu kompenzační nádrže. Řízení kompenzační nádrže v reálném čase. Nárazová nádrž.
Abraze břehů
= eroze břehů, přetváření, odnos erodonovaného materiálu vertikálně
ovlivňuje:
- morfologické podm., geologické podm.
- klimatické podm.
- .....
modifikace průtokových řad a výparu
modifikovat i výpar!

současná míra ochrany
- hydrogram TPV50 - transformací ověřit, jestli nepřekročí neškodný odtok
- "Stávající ochrana území je Q5-Q10 nebo <Q10"
Návrhová míra ochrany
27. Typy technických protipovodňových opatření.
PPO s retencí (retenční nádrže, suché nádrže, území určená pro rozliv povodní). PPO podél vodního toku (ochranné hráze, stabilní a mobilní stěny, odlehčovací koryta, zkapacitňování koryt vodních toků). Typy a reálný význam přírodě blízkých protipovodňových opatření.
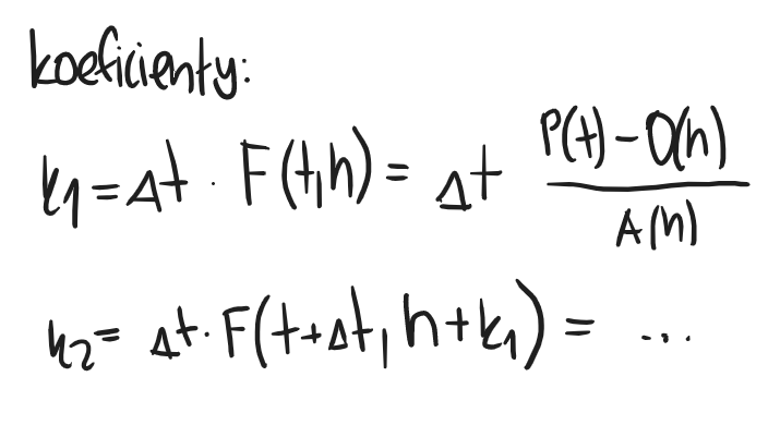
28. Výpočet transformace povodňové vlny v nádrži. Metoda Runge – Kutta 2. řádu.
N = 10 000 let
- statistická metoda - extrapolace čáry překročení - určení kulminace
- deterministická metoda - srážkoodtokvý hydrologický model
- maximální srážka - syntetický hyetogram
- doba opakování, hydrogram kontrolní povodňové vlny
Sedimentace splavenin
← změnou unášecí rychlosti ← změnou změnou hloubky a rychlosti vody v nádrži
materiál se dlouhodobě ukládá a nádrž se zanáší
hrubý materiál (sunuté zeminy) se usazují na konci vzdutí nádrže a při zaústění přítoků
jemnější materiál (plaveniny) se dostávají dále do nádrže
→ zmenšování prostor nádrže (všech) → vliv na plnění nádrže → vliv na charakteristiku nádrže
Sesuvy břehů
❓Jaké nadlepšení si budu moci dovolit s dnes navrženým Vz ❓
30. Průchod povodňové vlny nádrží s hrazeným bezpečnostním přelivem. Princip návrhu retenčního objemu a řízení v reálném čase.
Bezpečnost vodního díla
- ohrožení existence stavby?
- Posuzování vodních děl při povodních
- ČSN 75 2935
- Vyhl. 590/2002 Sb. zezávazňuje ČSN
Posouzení: (vydává Vodní díla - TBD)
- A - I. (10 000 → ztráty na životech,..), II. (2 000 let)
- B - III.-IV. (1 000 - 200 let)
- C - IV. (100 - 50 let)
- Kam nejvýše vystoupí hladiny → KONTROLNÍ MAXIMÁLNÍ HLADINA
- MBH = MEZNÍ BEZPEČNÁ HLADINA - při dosažení dochází k poruše
- KPV → transformace → KMH → posouzení KMH vs. MBH
podle toho:
- dohled, revize, opravy,..
- redukce kapacity při výpočtu dle objektů
kontrolní povodňová vlna
Morfologické vlastnosti údolí
popisují čáry zatopených ploch a objemů = CHARAKTERISTIKA NÁDRŽE
Batygrafické čáry
tvar údolí nelze vyjádřit analyticky → popisují morfologické vlastnosti údolí
= čára zatopených ploch a objemů = charakteristika nádrže
pokud přísun splavenin a nárůst organické hmoty výrazně ovlivní objem nádrže → odstranění nebo úprava čar (nesmí přesáhnout změnu 5%)
- zatopené plochy: Fz = f1 (h)
- zatopené objemy: V = f2 (h) - integrální (součtová) čára (integrace podle hloubky h)
Studie odtokových poměrů (SOP)
Cílem zajištění určité míry ochrany.
- Současná míra protipovodňové ochrany
- Návrhová míra ochrany
- přisoudíme lepší
- dle doporučení → Plány povodí, standardy
- extravilán - bez ochrany
- ochrana jen cenných plodin, výjimka
- intravilán
- malá Q20, souvislá Q50, historická centra Q100
- Q100 obecně preferovaná
- aktivní zóna záplavového území - nejsou možné stavební pozemky
- Varianty PPO
- zkapacitnění koryta toku
- retenční nádrž, poldr,..
- kombinace
- klidně zařadit vše, aby se ukázalo vše (:
- Kritéria: Proveditelnost, reálné z majetko-právních poměrů, dopady na ŽP, cena,..
- Výsledné doporučení - projednáno se zastupitelstvem, správcem. Průběžné konzultace s dotčenými orgány (DOS).
PPO - Protipovodňová opatření
- přírodě blízká
- technická
- podpora dotacemi hlavně MZe
- prevence před povodněmi
- další dotace
- MŽP méně
Charakteristika abraze
Stanovení MZP
- Metodický pokyn z roku 1998
- Odbor ochrany vod MŽP
- nakládání s povrch. vodami, ekologické funkce, zohledňuje možnosti plavby

- Získat Qm-denní, podle rozmezí Q355d se stanoví MZP - doporučené
- Vodohospodářský úřad stanoví hodnotu
- Momentálně se řeší
- mezirezortní připomínkové řízení trvá přes 10 let
- koordinuje MŽP
Budoucí možná řešení:
- Hydrologická metoda - jako stávající
- Hydraulicko - habitatový
- morfologie, granulometrie,..
- Regionální souvislost
hrazený přeliv
a) držím Qneš

b) redukce kulminace (Nechranice, Římov)

c) nesnížím kulminační průtok, pouze udělám čas na přípravu


Transformace povodňové vlny
- nezprůměrováváme hodnoty
- jedná se o konkrétní hodnoty v daném čase


Qn a MZP
Qn je MZP (minimální zůstakový průtok)

Změnové koeficienty pro hydrologická povodí 3. řádu
- tabulky pro všechny povodí 3. řádu celé ČR: x-yy-zz
- Jak fungují?
- kalendářní měsíce
- teploty - aditivní - přidávám přímo °C - průměrná teplota o x větší
- srážky - multiplikativní - na úrovni x% dnešní srážky
- odtoky - multiplikativní - na úrovni x% dnešního odtoku
→ úprava hodnot
- V lednu odtok vyšší koeficienty - padá rovnou déšť místo sněhu → rovnou odtéká

PPO podél vodních toků, bez retence
- zkapacitňování koryt, ochranné hráze, stabilní a mobilní stěny (pro dolní části toků, potřebný čas pro výstavbu)
- odlehčovací koryta a štoly - nutná vhodná dispozice

- dopady realizací v prostředním městě
- zpětné vzdutí do předchozí obce
- do dalšího města pokračuje voda bez rozlití,
Eulerova aproximace
lineární → dopuštíme se chyby 
Runge-Kutte 2. řádu

ČÁRA ZATOPENÝCH PLOCH

Charakteristika nádrže
závislost zatopené plochy a objemu na úrovni hladiny v nádrži
přírůstek hladiny → zatopená plocha → výpočet objemu


12. Vodní bilance. Způsob sestavení a její dvě složky: vodohospodářská a hydrologická bilance.
Klimatická změna
- scénáře - vyvíjeny dlouhou dobu
- Martin Hanel - ČZU
- 34 scénářů
34. Vlivy nádrže na okolí: na hydrologický režim, na režim podzemních vod, abraze svahů, vliv na splaveninový, kyslíkový a teplotní režim vodního toku.
29. Průchod povodňové vlny nádrží s nehrazeným bezpečnostním přelivem. Princip návrhu retenčního objemu a řízení v reálném čase.
nehrazený přeliv
- při t1 uzavírám spodní výpusti, voda se blíží k hladině bezpečnostního přelivu
- t2: uzavřeno SV, voda přepadá přes BP
- t3: kulmnace
- t4: vyprázdnění retenčního prostoru

- na Hmax musí být vyhrazeno vše
Neškodný odtok
- neškodný průtok - různý v úsecích
- neškodý odtok - takový, aby nezpůsobil v úsecích pod ním průtok větší než Qneš

PPO s retencí
- vyhradíme část oběmu, aby byl prázdný a zachytil část objemu povodně → transforaqmční účinek
- preferována
- potřebuji povodňovou vlnu!
- hya výpočet neustáleného proudění + hydrologické modelování
- Výstavba vodních nádrží– musím mít retenční prostor
- Výstavba suchých nádrží neboli poldru
- Zajištění území určených k řízeným rozlivům povodní
ČÁRA ZATOPENÝCH OBJEMŮ

Střední scénář průběhu klimatické změny
- jeden scénář, který bude aplikovaný na ČR všemi institucemi
- Potřeba jednotného přístupu a jednoho pravděpodobného vývoje
- VÚV, Czech GLOBE
- aplikovány pro jednotlivá Povodí
-
35. Kvalita vody v nádrži. Teplotní režim nádrže. Eutrofizace a zanášení nádrží.
Řešení ochranného objemu nádrže
- Ochrana před povodňovou vlnou úpravou toku nebo zadržením ve vyhrazeném prostoru nádrže – ochranný/retenční prostor
- teoretické zachycení celé povodně je nemožné (nehospodárné)– obrovský objem, velký prostor
- Spokojíme se se snížením kulminačního průtoku povodně = přetvoření (transformace) povodňové vlny
Modely
15. Minimální zůstatkový průtok. Co to je a způsob stanovení.
24. Neškodný průtok a neškodný odtok z nádrže. Způsob stanovení.
CN křivky
- číslo odtokové křivky
- dva hlavní ukazatelé
- půda
- způsob využití povodí
- lze modifikovat pro určitý stav v povodí
- ukazatel předchozích srážek
- menší váha na starší srážky
Tvorba povodňových vln TPV_N
- nestandardní hydrologický podklad - mohu počítat sám, ne jen ČHMÚ
- HEC-HMS - využívá i ČHMÚ
- tvorba hydrologického modelu
- sestavím model, určím Nletost
- potřebuji srážky - volně dostupné; prostorové interpolace - N-letý srážkový úhrn
- rozprostření do hodin v rámci dne - hyetogramy (teoretické srážky)
- parametry jednotkového hydrogram
- srážko-odtokvý model

Povodňová vlna
- teoretické
- doby opakování → déšť
- využívány pro návrhy a posouzení
- nebo pomocí N-letých objemů povodňových vln
- historické
- odehrály se
- časový záznam - hydrogram
- Správci a ČHMÚ zaznamenali
- prověření funkce - jak by se byla bývala nádrž starala, kdyby byla řízena konkrétním způsobem

- musím nasčítávat objem povodňové vlny, když nestihne předchozí odtéct
6. Charakteristika nádrže a její sestrojení (čára zatopených ploch a čára zatopených objemů).
Bilance (množství vody)
1. Hydrologická bilance - ČHMÚ → porovnání přírůstků a úbytku vody s vyhodnocením změn vodních zásob v povodí
- srážková výška Hs = odtok Ho + výpar Hv +- R (retence)
- pro rok od 1.11.
2. Vodohospodářská bilance (VH bilance) → pošlou na VÚV → porovnáním požadavků na odběry povrchové vody a na vypouštění odpadních vod svi užitečnou kapacitou vodních zdrojů= hodnocení dopadu lidské činnosti
- podklady dodávají podniky, správci
- evidují všechny subjekty, které odebírají buď 500m3/měsíc nebo 6000m3/rok → mají povolení k nakládání a platí (cca 5kč/m3)
- bilančním krokem je měsíc
- kolik vody je k dispozici - na dílech, kde je více než 1 000 000 m3
- evidují množství vody
- nemusí dělat rybníky
algoritmus vlivu výparu
x...objem
y...plocha
aplikace scénářů na režimovou funkcí nádrží
- použitelnost v praxi?
- informační přínos?
NVS_vliv VD
NVS eko
Suchá nádrž Jelení (Karlovice)
- otvor, při povodni zahcen
- plní se retenční nádrž
- odtéká neškodný průtok
- dokud nedojde k přelivu bezpečnostního přelivu
- kapacita propusti není ovlivněna dolní vodou, zavzdutím → velký spád
- betonová zavazovací křídla
- kamenný zához a práh ve dně
kapacita
- odpad v tělese hráze - o volné hladině
- tlak - hrozí ohrožení konstrukce
- Přepad - padá shora -
- Výpust - výpočet BR, energetická bilance
- kapa
Hydrologický model
- hydrologický model (srážko-odtokový) → srážky na průtoky v uzavřeném profilu
- dává se přednost fyzikálním = konceptuálním modelům
- fyzicko geografické podklady
- způsob využití
- hydrologická skupina půdy v povodí, jaká bude infiltrace?
- jak velká srážka?
5. Rozdělení prostorů v nádrži a základní principy jejich návrhu. Objem stálého nadržení, zásobní objem, retenční objem (ovladatelný a neovladatelný). Rozdíl mezi maximální hladinou Hmax a mezní bezpečnou hladinou MBH.
Vodohospodářská bilance
- zákon o vodách → evidence množství a jakosti povrchových vod
- Vyhláška 431/2001 Sb.
- množství a jakost
- zvlášť povrchová a podzemní
- Sestavuje VÚV TGM
- Informace
- pro měrné profily → profil bilančně napjatý nebo pasivní
- deficitní nebo téměř → vodoprávní úřady → nepovolují nakládání s povrch. vodami,...
- plánování
N-letá srážka x N-letý průtok x realita a stav v povodí
Ochranný (retenční) prostor
Protipovodňové opatření
Objem povodňové vlny - podstatný i její průběh
hydrologie není stacionární v čase
Pravděpodobnostní hodnoty se mění v čase
na střední průběh klimatické změny
Režimová funkce nádrže
- trojrozměrný graf

19. Režimová funkce nádrže V = f(Op, Pt).
režimová data
pro návrh VHS nebo optimalizaci strategického řízení
Hydrologické podklady
- N-leté průtoky(ČHMÚ) - vztahujeme k nim zabezpečenost
- statistiká metoda - dostatečně dlouhá průtoková řada, v každém roce největší průtok → roční maxima, volba rozdělení (u nás tří parametrické log. normální rozdělení)
- seřazení od nejmenšího k největšímu → distribuční funkce (ne pravděpodobnost překročení)
- přiřazení pravděpodobnosti dle Čegodajeva - empirická distribuční funkce
- proložení křivky - teoretická distribuční funkce - tří parametrické log. normální rozdělelní


- nestandardní hydrologický průtok - nemusí vydat pouze ČHMÚ
Nehrazený bezpečností přeliv (BP)
- Hs - hladina stálého nadržení - nikdy nejdu pod
- živočichové, jakost vody, nevyužitelný spád
- Hz - hladina zásobního prostoru
- Hmax - vodoprávně projednaná - pro návrhovou povodňovou vlnu (tisíciletá)
- Mezní bezpečná hladina - odpovídá ohrožení vodního díla
- Retenční prostor Vr - kontrolovatelný a nekontrolovatelný

Ochraný prostor
nepoužívat za každou cenu celou dobu
Ztráty vody z nádrže
- typicky ztráta výparem
- průsakem tělesem (drenážní systémy, pod hráz) nebo do podloží
- netěsnosti uzávěrů - spíš dočasné
Výpočet objemu - bilance


připravené dvojce - závislost plocha a objem
proložit polynomem,.. → x objem, y plocha
Ft - plocha na počátku
Hv - výparná výška
Rámové propusti, Benešovy
transformová povodňová vlna
23. Hydrologické podklady pro řešení ochranného objemu nádrže a jejich zpracování. Způsob odhadu N-letých průtoků a teoretických N-letých povodňových vln.
očištění od antopogenních vlivů
- limnigraf měřící vodní stav pod nádrží? Ne. Část vody odběr, vsak, regulace odtoku - nadlepšování,.. → ovlivněná průtoková řada
- Zpětně očistit - potřebuji tabulky odběrů, průběhu hladin, teploty, výpar,..
vlna, která dostatečně reprezentuje přítok
délka
posledních 20 - 40 let průtokové řady
Vodohospodářské řešení
14. Ztráty vody z nádrže. Způsob zahrnutí ztrát výparem do VH řešení zásobní funkce nádrže.
Výpočet výparné výšky

Beran a Vizina - VÚV
na měsíc → násobit délkou měsíce
operativní data
slouží pro dispečink - rozhodovací proces
Hrazený BP

Hladina Hmax
- vodoprávně projednaná maximální hladina - maximální hladina, která bude v nádrži dosažena při průchodu návrhové povodňové vlny (např. hladina v profilu hráze pro Q100, Q1000,apod.) – záplavová čára po obvodu nádrže => nelze umísťovat stavby, kempy, karavany, apod.
Prostory v nádrži


Zásobní prostor
- Akumulace vody, hospodaření s vodou
- VH studie → potřeba vody pro zajištění odběrů
- Vyrovnávání časové nerovnoměrnosti mezi přítokem a odtokem z nádrže a to s určitou předem stanovenou za bezpečností

Posouzení nádrže
Ztráta výparem
- řada průběhů teplot vzduchu - lze vypočítat
- doporučení normy - Vodohospodářská řešení vodních nádrží
- ČSN 75 2405
- Příloha B: Přibližné stanovení ztráty vody výparem z volné hladiny
- ROzdělení na kalendářní měsíce
- Kalkulujeme jako nevratný odběr
Postupně bilanční metoda


17. Řešení zásobního objemu nádrže postupně bilanční metodou v reálné a syntetické řadě.
Povodně na Vltavě

Nejstarší nádrže
- před Kristem
- Marib, Purron, Kofini, Sadd-el-Kafara
funkční objekty
Požadovaná míra ochrany
Bezpečnostní přelivy
Hladina MBH
- nesmí být překročena - hladina, při které hrozí bezprostřední ohrožení stability VD a je ohrožena jeho bezpečnost - sypačka – přelití a eroze vzdušního líce, betonová – např. překlopení, posunutí, apod.
- jakmile se dostaneme na Hmax => za každou cenu jí uhájit, využít kapacitu všech funkčních objektů, nesmí být překročena
Prostor stálého nadržení
- v úzkých a hlubokých údolích nebývá velkou ztrátou na objemu
- zajišťuje minimální provozní hladinu, zachycuje nečistoty, odděluje vodu horší jakosti, zajišťuje minimální hladinu pro VE (minimální spád na turbínu - nejmenší sací výška)
- součástí mrtvý prostor, který nelze gravitačně vyprázdnit
- střet protichůdných zájmů - hlubší technicko-ekonomický rozbor + zvážení mimoekonomických hledisek
stanovení dle:
- dodržení požadované kvality vody v zásobním prostoru - zejm. vhodné teploty
- požadavky hygienické a estetické
- požadavky plynoucí ze zimního režimu nádrže
- rekreace
- chov ryb a vodní drůbeže
- alespoň 12m u nádrží +40m
Reprezentativnost vstupních podkladů

Zabezpečenost dodávky vody (= spolehlivost, reliability)
- různá dle priority odběratele
- Čegodajův vztah - není nikdy 100%

- Třídy významu
- A - odběratelé přípravy vody pro 50tis. + obyv., jaderné el. a tepl nad 500MW
- B - MZP, vodovody do 20. tis, průmysl celostátního významu
- C - průmysl krajského významu , vodovody do 20. tis., živočišná výroba
- D - VE, místní průmysl, závlahy, rekreace, lesnictví
- poruchový rok - stačí jeden poruchový měsíc

Hodnoty doporučených zabezpečeností:
tab. v normě
nepožadujeme 100% → ekonomicky nevýhodné
8. Distributivní vlastnosti průtokových řad. Popisné statistiky. Jejich vliv na velikost zásobního objemu nádrže.
ČSN 75 2405
Vodohospod. řešení VN
- náležitosti, seznam podkladů
- výsledek řešení
- zabezpečenosti
- výpar
- modifikace dat, kdy syntetická řada
Zabezpečnost podle opakování
- Podíl počtu let ve kterých bude dodávka zajištěna bez omezení
-
ukončení těžby uhlí 2033
plavební komora Kamýk
- Velký spád: 15,5m
- Jeden vtok
Bílina a jezera na mostecku apod.
- hydrologicky perfektní? → musí být napojeno na řeku - nelze držet na úrovni řeky → velký odpar z plochy
- Libouš a Nechranice propojit, jezero Bílina
- napouštění z externích zdrojů - Ohře (stranná) → Armáda (cca 10 let) a Vršany (cca 2 roky)
Švihov
- povolený odběr 5,25m3/s
- odhad velmi těsný, využití pro další obce ve Středočeském kraji?
- → hodnota vodoprávně povolená a i reálně odebíraná, nyní se více šetří + pokles zásobení krajiny vodou
- Momentálně odběr přes 3m3/s
kompenzační řízení
- Co by se stalo při zvýšení kóty plného zaplnění? Dopady?
- Vliv na využití - rekreace,..
- Zmenšení retenčního prostoru → zmenšení PPO
- Plánuje se/chtělo se realizovat zasakování dále za Opatovicemi
účinnost suché nádrže
- Retenční objem
- Způsob odlehčení
- koryto, průleh
- potřebná kapacita!
- mohu vytvořit přelivnou hranu na odlehčení o dané kótě a délce hrany na korytě
opatřen bezpečnostním přelivem!
převod průtoku přesahující kapacitu
VD Nýrsko
- odběr pro Plzeň až u Starého Plzence
kompenzační řízení odtoku
Přítok a nakládání s vodou
- přirozený přítok → do první nádže, na horních tocích
- ovlivněný přítok → manipulacemi, odběry, vypouštěním, převody vody
- NAKLÁDÁNÍ (s povrchovou vodou)
- lidská činnost, kterou lze měnit množsví a jakost vody
- nutné povolení - právo k vodě
- kdo měl dříve, níže právo, má "přednost"
- Povodí jsou subjekty s právem hodspodařit majetkem státu
povinnost norem
povinné pokud vyžaduje Vyhláška a vyšší předpis
co zadává investor
ČSN 75 1400
- třída spolehlivosti hydrologických podkladů
- I.-IV.
- redukce zásobního prostoru součinitely
- pro návrh musí být od ČHMÚ
Zabezpečnost podle trvání
- Podíl délky trvání bezporuchového provozu z celkové doby provozu
- Celková doba provozu nádrže zpravidla vyjádřená v počtu měsíců
- Celkové trvání poruch– opět v počtu měsíců
Sucho
uzel Opatovice
Dnes hlavně odbět na chlazení na elektrárnu Opatovice.

3 základní podklady
Velikost zásobního prostoru

Zabezpečnost dodávky vody
Zabezpečení dodávky vody
- Vzhledem k charakteru přítoků a někdy i výstupu nelze uvažovat o stoprocentním zabezpečení požadavků na vodu
- Míra zabezpečení vyjadřuje pravděpodobnost, že požadovaná dodávka vody neklesne pod danou hodnotu
- Žádáme-li vysokou zabezpečnost musíme počítat s tím, že vzrostou nároky na zásobní objem nádrže ve srovnání s případem, kdy při stejném odběru (nalepšeném odtoku) vystačíme s menší za bezpečností
- Zabezpečnost má úzký vztah k ekonomickému hodnocení vodního díla
-
meteorologické sucho
zemědělské sucho
- nedostatek vody v půdě, dle využitelné vodní kapacity
- opatření v krajině, vzdorují v řádu týdnů
očekává se nárust obyvatelstva a snižování vydatnosti vodních zdrojů
Pastviny
Technické podklady
- přehradni profil
- Generel LAPV - územně hájené rezervy
Zásobní funkce nádrže
statistika druhého řádu
Kryry (?)
- závlaha pro chmel, Rakovnicko
- norma vs. praxe vs. evapotranspirace → nesoulady
- později bude potřeba více vody pro závlahu
VD Rozkoš
- závlahová voda v Polabí
- boční nádrž!
- přivaděč z Úpy (jez ve Zlíči), z nádrže teče do Metuje, voda může téct i zpět do Úpy (při vysoké hladině)
- PPO pro Skalici,.. na Úpě
- nemá BP (bezpečnostní přeliv) - uzavření nátoku z Úpy
- na odtoku MVE

- Hráz v nádrži, s přelivnou hranou
- sedimenty v horní části
- rekreace - v severní části kempy apod.
- stálé nadržení v horní části
- v dolní části manipulace


Nádrž s přímým odběrem

- na vodárenských nádržích + zajištění MZP
- odběrné objkety - etážové, břehové, sdružené objekty
Klíčava
- součástí systému Kladenských vodáren
- bude stačit při nárustu počtu obyvatel?
Kompenzační nádrž
- mezipovodí mezi OP (odběr. profilem) a hrází kompenzační nádrže
- dokopenzovávám co chybí v mezipovodí → kompenzační dávka

On = Op + MZP
příklad vlivu součinitele variace na zásobní objem
- Pravděpodobnost A je více otevřená
- B potřebuje větší retenční prostor

Zabezpečenost dodávky - dle objemu
Pd.. dle objemu dodané vody

- Podíl skutečně dodané vody z požadovaného objemu dodané vody za dobu provozu nádrže
Stanovice
7. Hydrologické podklady pro řešení zásobního objemu nádrže.
socioekonomické sucho
- výrazný dopad nedostatku vody na společnost, hospodářství, ŽP
Sezónní/roční
- ve vodném období se naplní nádrž
- délka cyklu jeden rok
- deficit nezasahuje do dalších let
Hydrologické podklady
- rozkolísanost, četnost, šikmost
Nároky a požadavky na vodu
- z potřeb v území
- každoročně Vodní bilance ČR - vytipuje nedostatky
hydrologické sucho
- pokles HPV a tedy i hladin vodních toků
- komplexní opatření, vzdorují pouze víceleté nádrže
Vliv oteplování
- udržitelnost MZP?
- bude se stavět přehrada pro závlahy? Kolik té vody budou potřebovat?
Ochranná (retenční) funkce
hydrogram zachycení vlny:

boční rybník
- nemusí se ho týkat povodně → nemusí mít boční přeliv
Boční

- Suchá nádrž mimo tok
- při povodni část odvedu do poldru, tokem teče pouze část
- nutné zajistit vypouštění

Povodňovou vlnu nad poldrem odlehčíme poldrem na redukovanou povodňovou vlnu s nižší kulminací
dle odběru
Časové řady
Vlastnosti

statistika třetího řádu
→ šikmost
13. Zabezpečenost dodávky vody (dle trvání, opakování a objemu dodané vody). Požadované zabezpečenosti podle trvání dle ČSN 75 245 VH řešení vodních nádrží.
Zásobní funkce
Víceleté nádrže
- nemusí se ve vodném období naplnit
- deficit 3-6 let, naplní se např. v následných 2 vodných letech
- Obrovské nádrže na tocích s malou vodností
- Směrodatná seskupení několika málo vodných let za sebou
- Nutno vycházet z poznání dlouhodobých zákonitostí průtokového režimu v profilu
- Nutné navrhnout zásobní objem tak aby se umožnila akumulace vody ve vodných letech pro zachování odběru O a nalepšeného průtoku Qn v málo vodných letech
- Vz vzdoruje delšímu suchu
- typicky vodárenské nádrže (Švihov)
Nutný zásobní prostor (pro krytí požadavku)
- velikost ovlivňuje vodnost toku
Časová diskretizace
- na průměrné hodnoty - denní, měsíční, roční

- okamžité hodnoty - 10min, 1h, 3h
příklad vlivu součinitele variace na zásobní objem

- B potřebuje více Vz - existuje možnost takhle malých průtoků, kdy už bych musela nadlepšovat, dotovat
Hospodaření s vodou v nádržích
Údolní

průtočné
Statistické veličiny
- průměr:

- rozptyl:
- Směrodatná odchylka:
- Součinitel variace
účely zásobní funkce
- zásobení pitnou vodou = vodárenská nádrž
- povolení k nakládání - Vodoprávní rozhodnutí k povolení odběru (Vodoprávní úřad)
- užitková voda, voda pro chlazení (→ voda pro průmysl)
- závlahová voda, zemědělská
- nadlepšování minimálních průtoků - "Minimální zůstatkový průtok" (MZP) - dle 365denního průtoku
- plavba
- výroba elektrické energie (→ špičkové + přečerpávání, ale i v průběžném - ovšem to není potřeba zásobit se)
Funkce - úprava vlastností vody
VD Přísečnice
Typologie nádrží
dle cyklu
Časový interval povyprázdnění a následného naplnění nádrže = doba T

VD Švihov
Korelace (asociace dvou veličin)
= míra závislosti dvou veličin (souvislosti), těsnosti
- korelační analýza - vyčíslení korelačního součinitele r <-1; 1>

Lze proložit regresní přímkou:
Pearsonův korelační koeficient r
- směrnice a kladná a r=1; čím větší, tím těsnější
- r<0
- žádný vztah (statisticky významný) → r=0
akumulace elektrické energie
- Přečerpávací vodní elektrárna
- Baterie
- Vodík
Příklad - Hydrologická analogie
Limnigraf za soutokem → chci postavit nádrž → METODA HYDROLOGICKÉ ANALOGIE → Plochy povodí → rozdělím Qa v poměru


- Zpřesnění zohledněním distribuce srážek → dle nadmořské výšky → Specifický odtok qa [m3/s/m2] [l/s/km2] → Kolik procent je s jakým odtokem?
- Uvažuje se o přehradě: Zřízení lymnigrafu v profilu přehrady. Prostřednictvím analogonu (lymnigraf) a korelace si doplním chybějící data

Stacionarita
= vlastnost průtokové řady, kdy se v čase významně nemění pravděpodobnostní

stacionární řada
konstantní
Centrální a satelitní stanice

usazovací nádrže
odkaliště
dále na Teplé - VD Březová
- ochrana lázeňské části před povodněmi
Postranní nádrž
- postavení nádrže na bočním toku - má morfologii apod.
- vodnost má hlavní tok → převod vody z jezové zdrže,...

Chladící nádrže
VD Stanovice
- na Lomnickém potoce, čerpá se voda z Teplé
- postranní vodárenská nádrž
- odběr vody na úpravnu → KV
Vrcholová
- PVE Dlouhé Stráně
- Štěchovice
Vodohospodářský rok
vodné období (březen, duben)
Převod vody
- gravitačně - štola o volné hladině
- čerpání
4. Typologie nádrží 2: Podle způsobu řízení odtoku s přímým odběrem, s kompenzačním řízením. Podle vodohospodářského cyklu: roční (sezónní) řízení odtoku, víceleté řízení odtoku.
Autokorelace ((samo)korelace mezi jednotlivými členy v téže řadě)
- Určuje stupeň lineární závislosti například hodnoty průtoku na svých předchozích hodnotách
- hledání závislosti na předchozích hodnotách, analýza periodicity
- autokorelační koeficient
- ACF s nestejnou vahou autokorelačních koeficientů
- dávám do souvislosti sousední členy v průtokové řadě (větší váha než ↓)
- ovlivňuje únor březen?; korelované páry, n-1 párů; r>0
- páry ob jeden (menší váha než sousední členy)
- n-2 párů; r=0; vytrácí se těsnost
- počet posunů souborů dat vůči sobě určují řád autokorelační funkce
- závislost koeficientu korelace na počtu posunu, bez posunu koeficient = 1
- typy ACF
- abs. náhodný proces
- mocniná ACF
- exponenciální ACF
- tlumený harmonický pohyb (Qr)


nestacionární řada
- nehomogenita = antropogenní - lidsky zaviněné
- způsobené přirozeně
- změna odtokových poměrů - změna využití ploch
-
- Může dojít ke změně - znatelné na datech:

- přirozenými či antropogenními změnami
Vnitřní struktura hydrologických řad
Vliv ACF na velikost zásobního prostoru


Vysoký korelační vztah → potřebuji větší zásobní prostor - za sebou chodí stejně velké průtoky (Vz1 > Vz2)
Sucho nebude pravděpodobně trvat déle než 5-6 let:

11. Metoda fragmentů pro modelování syntetických průtokových řad s měsíčním krokem.
- Fragment je 12 relativních hodnot reálných průměrných měsíčních průtoků v každém roce
- Fragmenty se náhodně přiřazují k předem na generovaným průměrným ročním průtokům (lze získat libovolně dlouhou umělou řadu průměrných měsíčních průtoků)
- Dodržuje statistické parametry včetně autokorelační funkce
- Korelace jsou porušeny jen na mezích fragmentů
- metoda však nedodržuje korelace mezi vektory měsíčních průtoků v různých kalendářních měsících protože každá dvojice těchto průtoků se v různých rocích jinak transformuje - rozdíl od regresních modelů
- omezený počet reálných fragmentů

vyrovnávací funkce pod MVE
Záchytné nádrže
zachycení splavenin a odpadů
chystá se u Orlíku
- reversibilní Francisovi - jak turbínový, tak čerpadlový režim - nahrazení dvou Kaplanových
Modelace
Pouze na úrovni Tau1 - je ještě statisticky významný (mocniná ACF)
tα (5%) = 1,645
C Vodohospodářské soustavy

Harcov, Liberec
Retenční (ochranný objem) > zásobní prostor
1. Funkce a účely nádrží.
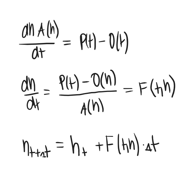
základní úkon: transformace průběhu přítoku na časový průběh odtoku:
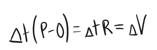
(přítok - odtok = retence): P>O - nádrž se plní; P<O - nádrž se prázdní

- hospodaření s vodou
- rekreace, chov ryb
2. Rozdíl mezi pojmy: nádrž, přehrada, jez, jezová zdrž.
přehrada- hradí a akumuluje vodu v nádrži
jez - hradí, pouze vzdouvá vodu → tvoří jezovou zdrž (vzdutí od jezu)
bleskové povodně 2010
2 povodňové vlny
1. Q = 20m3/s
2. Q = 30 m3/s
Autoregresní posloupnost x. řádu
Syntetické řady
B2 metoda fragmentů


Povodně v 2. pol. 19. stol.
prof. Otto Intze
→ přehrady v Jizerských horách
- Intzeho typ
- zděné tížné
- spodní výpust se šoupátkovou věží, šoupátko na patě vzdušného líce
- korunový BP
9. Autokorelační vlastnosti průtokových řad. Významnost autokorelačních koeficientů. Vliv autokorelace časové řady na velikost zásobního objemu nádrže. Typy autokorelační funkce.
ACF pro roční průtoky → tlumený harmonický pohyb

- 5. - 6. rok, 12. rok
- vliv sluneční aktivity
- oscilační pohyb, zřetejnější
- délka periody 11 let
- autokorelace hydrologických dat více zašumněné
Řada ročních průtoků Qr
B1 Metoda linerního regresního modelu


VD Fojtka
Vodohospodářská soustava
- vodohospodářské prvky spojené vzájemnými vazbami v účelový celek
- 3 charakteristické složky: prvek– vazba– účel
- Členění:
- Subsystém povrchové vody
- Subsystém podzemní vody
- Subsystém nakládání s vodami
- Kaskáda = za sebou = navazují vzdutími
- Vltavská, Labská, na Chrudimce
Umělé nádrže
přehrady, vytvořeny člověkem
3. Typologie nádrží 1: Nádrže umělé a přírodní. Typy podle umístění vzhledem k vodnímu toku: údolní průtočné, boční, postranní, vrcholové.
16. Základní rozvaha při návrhu zásobní funkce nádrže. Kdy je řízení odtoku sezónní a kdy víceleté.
- zásobení vodou - vážit, jesti je nádrž nutná
- vodohospodářská bilance - analyzuje potřebu vody a v možnosti jejího uspokojení v dané oblasti
- Vytipování vhodné lokality pro výstavbu + zvážení spolupráce s podzemními zdroji či jinými nádržemi v soustavě, ne jako izolovaná nádrž
- rámcová vodohospodářská bilance - stačí a roční vydatnost zdroje pro požadovaný a roční odběr?
- Možnost přehradního profilu a údolí: V_morf; při V_morf > V_potřeb můžeme zvážit další účel
- základním úkolem je vyrovnávat časovou nerovnoměrnost mezi přítokem a odtokem z nádrže s určitou předem stanovenou za bezpečností
- cyklus nádrže definujeme jako časový interval povyprázdnění a následného naplnění nádrže

Denní řízení odtoku (cyklus)
- nepřesahuje jeden den
- vodojemy, vyrovnávací nádrže pod špičkovou VE
- proměnlivý přítok, konstantní odtok = vyrovnávací nádrž
- ranní a odpolední energetická špička
- pro daný výkon součtová čára → přítok P se musí rovnat odtoku O za 24h
- konst. přítok, proměnlivý odtok = rozdělovací nádrž → vodojem
- možný samospád či čerpání
- dle potřeby vody
- vydatnost zdroje má vliv na potřebu vodojemu
-
Andersonovy meze

Rovnoměrné rozdělení pravděpodobnosti
všechny čísla mají stejnou šanci
A.1 Absolutně náhodné procesy
B Model řady měsíčních průtoků Qm
Vodohospodářské prvky
A.1.1 Monte Carlo metoda
- vstup reálná čísla ročních průtoků
- generuji náhodná čísla
- všechna čísla mají stejnou šanci existence

aplikace lineárního regresního modelu
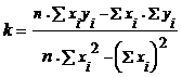
Regresní analýza
- výpočet odhadů koeficientů lineární regrasní funkce: y = kx + q
- korelační dvojice naměřené u výběrového souboru o n členech
- metoda nejmenších čtverců



10. Lineární regresní model pro modelování syntetických průtokových řad. Modelování řad s ročním a měsíčním krokem.
Závlahová voda
- sezónní, u nás stále doplňková závlaha
- v manipulačním řádu uvedeno vegetační období
- při vláhovém deficitu mají odběry zdarma
Voda pro průmysl
- z potřeb technologie
- voda pro energetiku
- vodní elektrárny - voda pouze protéká, není spotřebovávána
- derivační kanál - ponechat toku MZP
- požadavek ne veškerý průtok přev VE
- jezy potřebují, aby přes ně voda šla (degradace v létě - objemové změny)
- okysličení vody
- tepelné elektrárny - chlazení, předpokládá se odklon
- jaderné elektrárny -
Vodní nádrž
- Omezený prostor který slouží k hospodaření s vodou
- Akumulace vody k jejímu pozdějšímu využití
- Zachycení zvýšených průtoků k ochraně údolí pod nádrží
- K vytvoření určitého vodního prostředí pro živočichy
- Úprava vlastností vody
- vyrovnávání časové nerovnoměrnosti mezi přítokem a odtokem z nádrže s určitou předem stanovenou zabezpečností
Přirozené nádrže
jezera, využití problematické vzhledem k ochraně přírody
22. Nádrž s převodem vody z jiného povodí.
18. Řešení zásobního objemu víceleté nádrže metodou rozdělení na sezónní a víceletou složku.
- Pro návrh jsou směrodatná seskupení několika málo vodných let za sebou
- Nutno vycházet z poznání dlouhodobých zákonitostí průtokového režimu
- Zásadní objem se navrhuje tak aby se umožnilo akumulace vody ve vodných letech pro zachování odběru popřípadě nauku v málo vodných letech
Řešení zásobního objemu
Deterministická
Předprojektové studie nádrže
- Vodohospodářská bilance - analyzuje potřebu vody a možnosti jejího uspokojení v dané oblasti, zahrnuje také analýzu všech možných racionalizačních opatření vedoucích k úsporám vody, uvažuje spolehlivou dlouhodobou prognózu potřeby vody
- Vytipování vhodné lokality pro výstavbu nádrže– zvážení začlenění nádrže mezi stávající vodní zdroje
- Rámcová vodohospodářská bilance– zjistíme zda pro požadovaný roční odběr stačí roční vydatnost vodního zdroje s požadovanou za bezpečností s uvážením minimálního zbytkového průtoku
- Možnost umístění potřebného objemu nádrže V vzhledem k možnostem přehradního profilu a údolí hledem k možnostem přehradního profilu
Stochastická
A.1.2 známý typ rozdělení pravděpodobnosti reálné řady


Vodárenské nádže
- zajišťují dodávky vody pro obyvatelstvo
- zvláštní režim - požadavek na kvalitu
- většinou ty nahoře - nejsou antropogenně ovlivněny třeba v okolí zemědělství
- Švihov, Vrchlice - okolí změděl.
- Výpočet pořeby vody (často od zadavatele)
- specifická potřeba vody [l/os/den]
- součinitel roční nerovnoměrnosti a hodinové nerovnoměrnosti
- Vybavenost, požární voda
Povolení k odběru (nakládání s povrch. vodami)
Plavba
- nadlepšování pro plavební hloubku v toku (nízká priorita)
- Minimální plavební hladina na nádrži - v sezónně nesmí podkročit
- občas složité s ostatními funkcemi, jdou proti sobě
20. Řešení objemu nádrže s krátkodobým cyklem. Vodojem. Vyrovnávací nádrž pod špičkovou vodní elektrárnou.
A.1.3 zachování autokorel. fce

bilance v syntetické řadě
- zabezpečenost už musí být na úrovni Po (dle opakování)
VH řešení v reálné řadě
pro současné klima a pro klim. změnu
Nádrž s převodem vody
- do údolní nádrže s hlavním přítokem vlastním (přirozeným) přivádíme přidanou vodu z jiného povodí
- do postranní nádrže přivádíme vodu přivaděčem z hlavního toku a mnohem větší vydatnosti
- převádíme průtok s povodí s aktivním vodohospodářskou bilancí do povodí s pasivní bilancí– efektivně zvyšujeme využití nádrže
- převodem průtoku můžeme též v některých případech řešit ochranu území před velkými vodami
- přivaděče bývají dlouhé a široké, jedná se o nákladné objekty
- Rozkoš u české skalice, žermanice na lučině
Rozdělení Vz (oddělené řešení)
- Celkový zásobní objem nádrže je rozdělen navíc letou složku a sezónní složku objemu nádrže
- Víceletá složka se stanoví z průměrných ročních přítoků a odběrů
- Sezónní složka vyjadřuje nároky na zásobní objem vyplývající z proměnlivosti přítoků a odběru během roku
Vyřešení v syntetické řadě Qm
Pro nádrže významnosti A je potřeba řešit vodohospodářské řešení pravděpodobnostně → vygenerování syntetické řady a na ní potom nasadíme postupně bilanční metodu (500-1000 let)
VH řešení v syntetické řadě Qr
Víceletá složka Vz^v
vní a druhý rok neklade nárok na víceletou složku (kladou pouze na sezónní složku)
nárok na víceletou složku klade 3. rok

Postupně bilanční metoda
Sezónní složka Vz^s
- vstupem reálná řada Qm (měsíční průtoky) v letech → průměrný roční průtok (Qr)
- vyberu pouze ty roky, kde je průměrný průtok vyšší než nadlapešený průtok (Qr > On)
- jaký deficit vznkne v daném roce?
- f = distribuční funkce

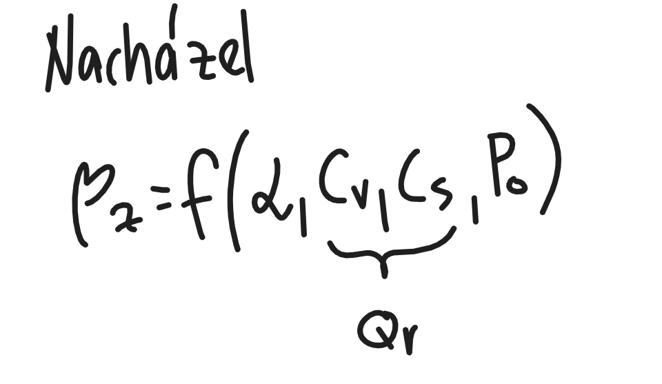
Nacházelovy grafy

a poměrný zásobní objem Beta_z

Metody přímého řešení celého zásobního
- Při řešení v časové řadě průtoku dáváme přednost přímé metodě
- Vyhneme se nepříjemnému dělení zásobního objemu na sezónní a víceletou složku
- Řešení zpravidla provádíme v řadách průměrných měsíčních průtoků
- Pro určení parametru řízení odtoku s dostatečnou spolehlivostí potřebujeme řady průměrných měsíčních průtoků o délce 500 až 1000 roků– musíme namodelovat
Nomogramy
- Sloupce dle zabezpečenosti dle opakování
- Řádky dle vztahu Cv a Cs
→ zvolím graf
- na vodorovné ose součinitel variace Cv
- vyberu součinitel nadlepčení alfa =...
- Vyjde mi beta
poměrná víceletá složka
