142VVE - Využití vodní energie
Created by Nikol Vypior (osobní/personal)
Poznámky a příprava ke zkoušce na ČVUT FSv
#energie, #práce, #průtok, #spád, #stavební inženýrství, #turbína, #vodní energie, #vodní hospodářství, #vodní stavby, #využití vodní energie, #výkon, #účinnost

vtokové víry
zvyšování ztrát, nerovnoměrné rychlostní pole, strhávání vzduchu, tlakové pulzace
Konstrukční řešení, objekty
výrobní a provozní objekty
strojovna
montážní prostor
savka
- sací trouba
- efektivní odvádění vody od oběžného kola reakční turbíny
- u akčních není
- lze kolo umisťovat nad i pod hladinu dolní vody - využívá hrubý spád
- nahoře osový posuv nehmotného "pístu"
- dole podtlak odpovídající sloupci vody pod pístem, který jej přisává
usazovák
ztráty spádu a objemu
vtokový objekt
- jímání vody v požadované kvalitě a kvantitě
- minimální ztráty
- odstranění splavenin
- volitelně - usazovák s proplachem, odstranění plavenin
- beztlakové / tlakové
- vtokový práh, norná stěna, hrubé česle, jemné česle
- čistící stroje
-
coanda
účinky splavenin
- Ohrožuje provoz hydro energetických děl nejen na klasických štěrkonosných tocích, ale i na tocích českého masivu
- Při přívalových deštích dochází k intenzivnímu smyvu a transportu spláví různého typu
- nánosy je potřebné vytěžit
- Periodická kontrola a občasné vyčištění
-
abraze
- ve vodě částečky, které obrušují hydraulické plochy
- při velkých rychlostech stačí malinké zrníčko
beztlakové
přivaděče
derivační přivaděč
provizorní hrazení a uzávěrů, drážky
Mimořádné provozní stavy
tlakové
odpady
štoly
velmi malý podélný sklon
Rozvaděč turbíny
pomocí natáčivých rozváděcích lopatek průtok reakčními turbínami
přívádí vodu k oběžnému kolu turbíny určitou rychlostí a určitým směrem
Uzávěry vodních elektráren
nízké průtoky
- Elektrárna pracuje s minimálním efektem– může být i zcela odstavena, nezbavuje vlastníka povinnosti plnit podmínky vodohospodářského orgánu
- Je nutné manipulovat tak aby byly přítoky bez jakéhokoliv ovlivnění propouštění do toku pod dílem a nebyly zadržován
- Zvláštní pozornost no provzdušňování vody
šachty
šikmé nebo svislé
povodně
- Jsou hodně znamenají zvýšené namáhání a popřípadě i riziko poškození– výmoly nánosy poruchy opevnění
- Výskyt povodní často důvodem k odstavení soustrojí pro nedostatek spádu
- Nutné počítat IS tím že objekt bude po jistou dobu nepřístupný
- Nutno brát v potaz riziko výskytu extrémních přívalových povodních
zimní provoz
- Výskyt ledových jevů– ohrožují plynulost průtoku vzduchu a hlavně v jezových zdrží na konci vzdutí, narušují funkci v takových objektů, přivaděčů, popřípadě i odpadních kanálů od elektrárny
- Některé problémy se odhalí až za provozu
- Vytvoření trhliny lze napomoci záměrným snížením rychlosti proudění na začátku období mrazů pod hodnotu 0, 15 až 0, 20 m/s
-
Čerpadla v turbínovém režimu
- při opačném směru otáčení obecně použitelná jako turbíny
- čerpadla v reverním režimu
- geometrie lopatek
- difuzor - čerpadlo v čerpadlovém r.
- konfuzor - v turbínovém r.
- výhody: dostupnost, rela. nízká cena, sériová výroba,
- nevýhody: pevné lopatky rozvaděče, u axiálních i oběžného kola
-
neustálené proudění
hydraulický ráz
Případ neustálého proudění
Vznikne náhlým uzavřením nebo otevřením uzávěru v dlouhém tlakovém potrubí nebo uzavřením nebo otevřením rozváděcích lopatek přetlakových turbín nebo jehly plno turbíny
Náhlá změna průtoku vyvolává náhlou změnu tlaku vody– tlaková vlna se šíří potrubím velkou rychlostí která se rovná rychlosti zvuku ve vodě
Fyzikální příčinou zvýšení nebo snížení tlaku je setrvačnost proudící vodní hmoty
Náhlým s menším nebo zastavením průtoku se tlak v potrubí nad uzávěrem zvýší o přírůstek delta p a kladná tlaková vlna začne postupovat od uzávěru směrem proti proudu až ke vtoku
Vyrovnávací komory
oscilace hladin - dolní a horní komory
- vyrovnává prudké rozdíl mezi průtokem vody který je přiváděn na turbínu dlouhým přivaděčem a průtokem který je turbína schopna zpracovat (horní)
- Rozděluje dlouhý přívod vody do elektrárny na poměrně dlouhých stolový přivaděč a poměrně krátké tlakové potrubí (horní, dolní)
- Zmenšuje výkyvy tlaku způsobené hydraulickým rázem který vyvolávají změny odběru turbín při náhlých změnách jejich zatížení
- zamezuje šíření tlakových vln od hydraulického rázu do horní části je tlakového přivaděče
- náhle zmenšení odběru
- Náhle zvětšení odběrů
Snímače
snímače elektrických veličin
snímače neelektrických veličin
- Měření teploty
- dlouh čidla– tavná a bimetalová– při ohřevu rozepnou nebo spojí signalizační obvod
- Kontaktní kapilárový teploměr i– jak ručičkové ukazování ta i kontaktní nebo analogový výstup pro potřeby automatiky
- Odporový snímač s teploměrem
- Snímač tlaku
- měřící tlaky absolutní nebo tlaky vůči vnější atmosféře popřípadě tlaky rozdílové
- Manometry s přímým ukazováním měřené veličiny či 2 hodnotové nebo analogové signály
- Regulátor tlaku– mans– tlak přenášen mechanicky na spínací soustavu, tlak proschnutí a spínací diference je možno seřídit stavěcími šroubky
- Analogové čidlo– měří přetlak proti okolní atmosféře, měřené médium působí na nerezovou membránu která přenáší tlak na piezoelektrické čidlo
- Měření hladin
- elektrodové zařízení– při zaplavení společné a snímací elektrody dojde k uzavření obvodu a sepnutí výstupní kontaktní jednotky
- Analogové snímání– pomocí tlakových piezoelektrických snímačů
- plováky
- Měření průtoku
- nejčastěji pouze proude o znaky– zda dochází k proudění– různé mechanické principy či elektrický
- Snímání polohy
- Snímání otáček
- analogový napěťový výstup tachogenerátorku
-
oběžné kolo
lopatky
servomotor
trysky
dělení
- kašnové pro menší spády
- spirálové pro větší spády
Peltonova turbína
- tangenciální t., velké spády a nízké průtoky
- regulace výkonu umožněna změnou průtoku - osový posun jehly v dýze - servomotor - změna plochy
- deflektor - rychlý zásah
- parciální vtok



dělení dle polohy osy
Bánkiho turbína
radiální, s dvojnásobným průtokem, příčně protékaná (cross flow)
Francisova t.
- dostředivá radiální, radioaxiální




Kaplanova t.
- Mírná účinnost i při proměnlivém průtoku a spádu
- axiální



Turgo
vlastnosti Peltonovy, ale rychlejší otáčky
rozváděcí ústrojí pomocí dýz
Vrtulová, propelerová t.
vyrovnávací nádrž
- VE odebírající vodu z akumulační nádrže zpravidla špičkový provoz
- nárazově vysoký odtok
Kondenzátor
- Při použití asynchronních generátorů je požadována kompenzace odběru jalového výkonu ze sítě– prováděno většinou pevnými kondenzátory, praxi hovoříme o kompenzační baterii
- Zapojují se do trojfázových baterií s tím že jednotlivé kondenzátory jsou většinou zapojeny do trojúhelníku
- Sestava kondenzátorů a dalších pomocných zařízení– jisticích prvků spínacích prvků cz zlepšující poměry při spínání apodobně
- Je nutné regulovat velikost kompenzační baterie– používají se speciální regulátory jalového výkonu
Transformátor
- Převádí jednotky střídavé napětí na jiné o stejném kmitočtu - mění napětí střídavého proudu
- Velikost změny 1 napětí na jiné je dána převodem transformátoru– poměr vstupního primárního a vstupního sekundárního napětí
- Ztráty v transformátoru
- Transformátory v obvodech vlastní spotřeby– vážně malé jednofázové pro galvanické oddělení obvodů
- Na vývodech malých vodních elektráren jsou transformátory většinou třífázové o větším výkonu– velmi často olejové ve venkovním prostředí– transformátor ponořen v nádobě naplněné olejem který zajišťuje přenos tepla do chladičů kde je olej ochlazován
Rovnotlaké turbíny
- Celá tlaková měrná energie vody se mění (v zařízení pro přívod vody k běžnému kolu) v kinetickou měrnou energii
- Proud vody (volný paprske)působí na lopatky oběžného kola po celé délce stejným tlakem
- Průtočné kanály nejsou zcela vyplněny– oběžné kolo musí být umístěno nad hladinou dolní vody
- Označené nepřesně také jako akční
- například Peltonova nebo Bánkiho turbína
- lopatková kola - náraz vodního paprsku → rázové předávání energie
- plynulé najetí vodního proudu na lopatku - paprsek vlivem zakřivení lopatky mění dráhu a předává kinetickou energii
- co nejkratší let paprsku - udržení kompaktnosti
-
Přímoproudá t.
Vodní čerpadlo
Přeměňuje mechanickou energii hřídele nebo pístu na mechanickou energii vody
rotační
pístový
Dériazova turbína
Přečerpávací VE
asynchronní
- Trojfázový indukční stroj s prostorově rozloženým statorových vinutí tím jednotlivých fází tak že v případě připojení na třífázovou síť bez tray vzniká točivé magnetické pole
- V případě že by došlo k synchronnímu otáčení rotoru s točivým polem statoru nebude v rotoru indukován potřebný budící proud– je potřebné a synchronní otáčení rotoru vůči točivému poli statoru
- V případě že otáčející se rotor je mechanicky zatěžovat mluvíme o asynchronním motoru
- V případě že naopak je rotor poháněn mluvíme o synchronním generátoru
- Aj synchronní stroj je mechanicky spojen s pohonnou jednotkou - vodní turbínou
- kruhový diagram asynchronního stroje
Vodní stroj
pístový
Přetlakové turbíny
- V kanálech rozváděcího kola se mění jen část tlakové měrné energie v kinetickou měrnou energii, přičemž zbývající (větší) část tlakové měrné energie se mění v měrnou energii kinetickou až při průchody vody o běžným kolem
- Tlak vody se od vtoku do kanálu o běžného kola směrem k výtoku zmenšuje čili je v nich přetlak
vodní soustrojí
dle přenosu energie
Reverzibílní turbíny
zdroje a distribuce: ČEZ, PRE, E.ON
Střídavý proud
3 fázová soustava, 50Hz, fáze posunuty o 120°
rotační magnetické pole

Evropská síť
přetížení → pokles frekvence
- primární zdroje - pára
- sekundární
- terciální - VE
- cykličnost spotřeby - roční, týdenní, denní
- NN do 1000V
- VN nad 1000V
Způsoby provozu VE
- průběžná – bez akumulace
- pološpičková – malá akumulace
- špičková – větší akumulace
- přečerpávací – největší akumulace
vodní motor
mění mechanickou energii vody na mechanickou energii rotující hřídele nebo pístu
říční a derivační VE
- říční - při jezu nebo přehrady
- derivační - voda přechodně opustí koryto
vodní kolo
komutátor
mechanický usměrňovač
dynamo
U stejnosměrných strojů je uspořádání vždy takové že stroj má na statoru budící magnety a na rotoru kotvu
V kotvě indukovaný proud se usměrňuje na točícím se komutátoru
U malých jde nám na statoru permanentní magnety, u větších dynam elektromagnety
Hydroalternátor
- Více pólový synchronní elektrický rotační stroj který přeměňuje mechanickou energii hřídele vodního motoru na střídavý elektrický proud
- Magnetické pole rotoru se tvoří buzením stejnosměrným proudem který vyrábí budič jde
rotační
VE v síti
- regulace dodávaného výkonu
- spolupráce při regulaci frekvence a napětí - možnosti kompenzačního provozu
- schopnost najetí ze tmy při výpadku síti – v řádu sekund, na plný výkon v řádu minut
- přečerpávací a špičkové VE – záloha výkonu pro případ výpadku jiného zdroje
vodní turbína
Rotační vodní motor jehož rotující částí je lopatkové oběžné kolo které mu voda předává svoji mechanickou energii– kinetickou, tlakovou nebo obojí


dle průtoku vzhledem k hřídeli

ERÚ - energetický regulační úřad
vydává cenová rozhodnutí
ČEPS
Česká energetická přenosová soustava
- přenos energie mezi zeměmi - 400 a 220kV
- udržování kvality, výkonová rovnováha, obnovení provozu, dispečerské řízení,
- primární regulační veiličina je frekvence = 50 Hz
VE start během sekund, plný výkon za cca 2-3 sekundy
synchronní
-
- Czc vinutím a geometrické rozložení takové že při napájení třífázovým napětím sítě vytváří točivé magnetické pole
- VV podstatě stejnosměrný elektromagnet který synchronně sleduje magnetické pole statoru a tady s ním synchronně otáčí
- Stejnosměrný elektromagnet je napájen z obvodů stejnosměrného napětí který nazýváme budícími obvody
- Takřka výhradně mi zdroje elektrické energie ve velkých elektrárnác
- hlavním důvodem jejich instalace v minulosti byla možnost provozu elektrárny nezávisle na provozu napájecí sítě → práce nezávisle na síti, či paralelně
- turbína musí udržovat synchronní otáčky generátoru tak aby nedocházelo ani se změnou zatížení ke změnám otáček generátoru– zajišťuje regulátor turbíny– přivírá nebo otvírá turbínu
- základním konstrukční rozdíl jednotlivých strojů o stejném výkonu a napětí je v počtu synchronních otáček
-
-
Návrh
dle polohy hřídele
- vertikální
- horizontální
- šikmé
Jednotkové parametry
D = 1m, E = 1 J/kg, rhó = 1 kg/m3
EES = elektroenergetický systém
DDZ = diagram denního zatížení elektroenergosystému
tempomat v autě
Vodní energie NEVÝHODY
- vysoké investiční náklady, dlouhá výstavba
- výroba dle hydrologické situace a množství akumulované vody
- zatopené oblasti při výstavbě nádrží, sociální aspekty
- stojatá voda – komáři, ovlivnění chodu splavenin
- zaplavení ekologicky hodnotného území, ztráta vody výparem
Frekvenční měnič
- Mění síťové napětí konstantní frekvence a amplitudy na napětí variabilní frekvence a amplitudy → tím je umožněna plynulá regulace otáček elektrických točivých strojů
- Nepřímým měnič nejprve proud usměrní a poté je schopen vyrábět střídavý proud v širokém rozmezí frekvencí rozšíří
- umožňuje optimalizovat pro provoz turbosoustrojí plynulou změnou otáček a přizpůsobit otáčky aktuálním provozním potřebám
charakteristiky turbín
Parametry turbín
- spád, průtok
- provozní otáčky
- výkon, účinnost
Kavitace
- Nepříznivé jevy při proudění vody které jsou vyvolány podtlaky → vznik a zánik dutin vyplněných parami a plyny
- Způsobují narušování obdobných materiálů - napadení a rozrušování konstrukčních materiálů
- kultur bin vznik podtlaku poto běžným kolem turbíny umožňuje zvýšit využití kinetické energie proudu vody– proto se dnes dokonce navrhují savky turbíny které podtlaky po turbínou zvětšují
- Kavitační mez– nesmí být překročena
Vodní energie VÝHODY
- obnovitelný zdroj, zdarma – poplatky za nakládání s vodou
- vysoká účinnost převodu – až 93% účinnost
- dlouhá životnost zařízení – turbíny 50-100 let
- jednoduchá a spolehlivá technologie
- nízké provozní náklady
- možnost akumulace energie
- rychlost naběhnutí zdroje (desítky s – minuty) = nezastupitelná fce pro elektrickou soustavu
- možnost startu do tmy při výpadku
- VD mají i jiné využití – plavba, rekreace, další odběry, apod.
- ochrana ŽP – neprodukuje emise a odpady
- zlepšení ŽP – akumulace vody, vliv na kvalitu, mikroklima, zvýšení HPV, apod.
hlavní
pracovní
ENERGETICKÁ SOUSTAVA
univerzální
dynamické chování sítě
dráty 50Hz
sinus
hydraul. ztráty v přivaděči
hydraulická energie

kapacita drátů vs. jistící prvky
hydraul. ztráty v turbíně
turbína → mechanická energie
regulátor
objemové ztráty v turbíně
ztráty v generátoru a transformaci
mechanické ztráty v turbíně
setrvačník
generátor → elektrická energie
převod
- ozubené
- řemenové
- spojení hřídelů
Ejekce

hltnost turbíny
hltnost turbíny QH = největší možný průtok turbínou
jmenovitá hltnost Qjm = maximální průtok turbínou při jmenovitém spádu tj. při pádu při němž je největší účinnost
průběžná VE
- nízkotlaký závod
- není akumulace (jezová drž)
- hydrologickým podkladem je čára trvání průtoků (překročení) za rok průměrně vodný, suchý
- konsumpční křivka koryta, řád manipulace s jezem
→ přidružená čára trvání spádů H(Q)
- typ turbíny
- hltnost (obvykle Q120-Q90)
- počet turbín
- příslušné spády k průtokům (návrhový spád) → rozměry turbíny, počty lopatek → počet otáček (Q a H optimální)
- obrazec rozdělování průtoků na turbíny
- koeficient účinnosti dle univerzální provozní charakteristiky pro jednotlivé průtoky
- Za vysokých povodní může spád klesnout natolik, že turbína už není schopná podat výkon → nulový výkon i za velkých průtocích!
BILANCE MEZI VÝROBOU A SPOTŘEBOU
Ovlivňování spádu
- Ejekcí - částečné zvýšení spádu i při zmenšujícím se H
- Prohrábkou dna - výstupky způsobují vzdutí (dolní vody)
čára trvání spádu, rozdělení průtoků, získatelné výkony

Regulace průtoku při konstantních otáčkách → změna účinnosti
spotřeba jinde než vedle řeky
ELEKTRICKÁ energie

Maximaliazce součinu QH
vliv účinnosti a počtu turbín
- Preferuje se více turbín (prodobně jako převody na převodovce)
- zplacatění křivky

využití DOPRAVY
účinnost: Univerzální provozní charakteristika typu turbíny

spotřeba co nejblíže
voda je těžká
Výpočet roční výroby
vodní kolo na vodním toku
využití přeměny na MECHANICKOU energii
Přeměna pomocí turbíny a elektrického generátoru (hydroalternátor)
dochází ke ztrátám
→ účinnost stroje
účinnost generátoru 0,95-0,96,
Výkon turbíny


Roční výkon
Stanovíme P střední [kW]
Vypočítáme várobu za čas: E = P * t [kWh]
Doba ročního využití instalovaného výkonu: T = E/Pt [h]

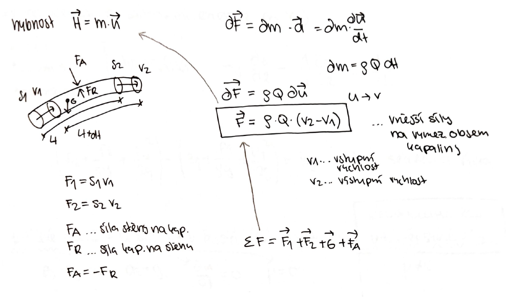
Věta o hybnosti proudící tekutiny

Eulerovy pohybové rovnice


rovnice kontinuity

Energie před vybudováním jezu

Energie po výstabě jezu

Spády

čistý spád = provozní spád - odečtení hydraulických ztrát kromě ztrát v turbíně
se ztrátami i v turbíně → užitečný spád
jmenovitý spád - nejlepší hydraulické vlastnosti
setrvačnost proudící hmoty
silový účinek volného paprsku

působení na zakřivenou lopatku - reakce téměř 2x větší než na kolmou desku
Přípravné práce a podklady
- Výběr lokality - na podkladě předběžného ohodnocení
- Projektová příprava
Projektová příprava
- požadavky a podmínky státní správy vodního hospodářství
- topografické podklady
- hydrologické údaje, geologické, geotechnické
- údaje o jakosti vody
- mapové podklady + tachymetrie nebo vhodně zvolené příčné profily
- podklady geofondu + doplňující průzkum in situ - vrty, geofyzikální metody + účinky vzduté vody
- ekonomické hledisko - ceny turbín, generátorů, stavebně montážních prací
rejda plavební komory
- horní a dolní
- ohlaví dělící zdi namáháno - velká kontrakce vodního proudu s vírovou oblastí
- příčné proudění u vstupu do rejdy
- podemílání dělící zdi
- ukládání splavenin a plavenin → tvorba nánosů v dolní rejdě
Výběr a předběžné zhodnocení lokality
- ocenění vhodnosti realizace MVE
- hydroenergetika
- okolnosti - majetko-právní, technicko-vodohospodářské, ochrana přírody, památkové péče, stanoviska veřejnosti, možné střety zájmů
- vztahy a možnosti v lokalitě
- podklady o spádových a průtokových poměrech
-
Koncepční a dispoziční řešení MVE
- víceúčelové využití vodních toků
- vodní dílo → vodní doprava, VE, odběry vody, ochrana okolního území proti povodním, zlepšení čistoty vody, rekreace
AKUMULACE elektrické energie
parní elektrárna
účinnost 30%, přijdu o energii fázové přeměny
Zpracování výroby v časové řadě
Vyšší nominální průtok v delším období → zvyšuji rizika
Vltavská kaskáda min 40m3/s
Klasifikace VE
- dle instalovaného výkonu
- dle získaného spádu
- dle charakteru pracovního režimu
- dle umístění strojovny
- dle uspořádání strojovny
- dle velikosti spádu
- dle řízení provozu
- dle hlediska provozovatele
- dle zapojení
přírodní zdroj energie
= všechny prmární zdroje, z nichž získáváme energii
- vyčerpatelné - omezené zásoby: fosilní paliva pevná, tekutá a plynná
- stále se obnovující - omezeno přírodními podmínkami: rostlinná paliva (dřevo)
- nevyčerpatelné zdroje: sluneční záření, tepelná energie, vodní energie toků, energie mořského přílivu a odlivu, energie větru apod.
- jaderná energie - např. řízeným rozpadem atmových jader v reaktoru
do produktů, kde se dá uložit
optimálně tam, kde nemůžu mít plyn,..
start "do tmy"
baterie → startér → motor
baterie (100A) → menší motor → motor
malé baterie → obrovská turbína
tlumení vibrací
- tlumení musí odpovídat vlastní frekvenci konstrukce
- nic není na pevno, i svazky kabelů odizolované
zdroje vodní energie
- nositel energie chemické, tepelné a zejm. mechanické
- vznik solných roztoků, ovšem malá koncentrace roztoků
- tepelný spád → termodynamické vytápění
- mechanická energie - daná koloběhem vody
- mech. energie atmosfér. srážek, mech. energii ledovců, mech. e. moří a oceánů, mech. e. vodních toků
- atmosfér. srážky: 100 tis. km3 vody/rok na zemksý povrch - malá koncentrace, nerovnoměrné plošné a časové rozložení, nestálost intenzity
- ledovce: obrovská hmotnost, ohrožuje mikroklima
- mořské vlny (fialové uhlí): velká nerovnoměrnost, nepravidelnost, nestálost - plovoucí pontony a turbíny
- příliv a odliv (modré uhlí): přitažlivost Měsíce a Slunce - cyklické kolísání hladin asi 4m, dosahují i 10m i 15-19m, reverzibilní vodní turbíny na cyklicky se vyskytujícím spádu - kompenzace nerovnoměrnosti ve spojitosti s přečerpáváním
- odhaduje se na 1TW, využití částečné
- St. Malo - 24 agregátů, celkem 240MW
- vysoké náklady - až 3x větší než u VE na tocích
- energie vodních toků (bílé uhlí)
Využití vodní energie = využití hydroenergetického potenciálu toků
Výhody (oproti fosilním palivům):
- trvalý zdroj energie - prakticky nevyčerpatelné
- čistý zdroj energie - neznečišťuje ovzduší, bezodpadový
- vlastní zdroj energie - nezávislé na zahraničí
- nízké investiční náklady, provozní náklady
- malá poruchovost, dlouhá životnost, vysoký počet provozních hodin
- nízký počet provozních pracovníků, automatizace
- nejlevnější zdroj jalové energie - zhospodárňuje chod spolupracujících elektráren a zmenšuje ztráty v síti vysokého napětí
- nové možnosti pro rekreaci
- přečerpávací vodní elektrárny - akumulátor energie
- doplňková, velmi kvalitní energie
- stupeň hydroenergetického využití ČR cca 35%
- 25% možné ve velkých a středních VE, 75% na MVE
Dělení vodních elektráren - dle instalovaného výkonu

obálka maxim a minim
hydrologie v roce
Vysokotlaké MVE
- užitné spády nad 50m a s malými průtoky
- dlouhý tlakový přivaděč s vyrovnávací komorou nebo nádrží - ochrana před rázovými jevy - a vhodný uzávěr na konci
- vtokový objekt na horní nádrži nebo odběrný objekt přímo na toku (+ lapač štěrku a usazovák písku)
- turbíny: Pelton, Bánki, Francis
- odpad zpravidla krátký
hliník
uloženo hodně elektřiny
recykláty plastů
návrh jezu na N-letý průtok (povodňový)
Citlivostní analýza

- S nominálním průtokem se zvyšuje výkon a roční výroba.
- Roční výroba ale začíná vadnout - nechceme blízko k počátku vadnutí
- Výroba dokonce začne klesat
- Najít extrém a jít vlevo od něj
ovlivněný úsek
karmánova vírová stezka
změna tlaku → změna zatížení

MVE
několikanásobně delší doba ekonomické životnosti, než je doba návratnosti prostředků
nejlevnější energie dodávaná do elektrizační soustavy
spouštění turbín na podzim → vodná zima a jaro
elektrizační soustava
Středotlaké MVE
VE přisazená k jezu
- součástí vzdouvacího profilu
- plavba na druhé straně
Orlík
z Kaplanek na Francis
pravděpodobně bude přečerpávací elektrárna
Hydrometeorologický ústav: Hydrologické poměry Československa 1. - 3. díl, Praha, 1970
přeměna energie
moment na hřídel → generátor → generování proudu
člěněná VE
- na každém břehu část
- historicky
VE na kanálu
- vepředu (na začátku) - hluboký kanál
- vzadu (na konci) - vysoký kanál
- uprostřed
- VE na zelené louce mimo řeku a objekt jezu
účinnost

Účinnost turbíny
ne z Hhor
ale ze spádu těsně před turbínou → Hnetto = Hhor - ztráty - Hdol

měření ztrát lepší - tlak
Jednotkové charakteristiky
Pro prorovnání turbín
n (otáčky), M (moment), Q, P (výkon), eta

n11 - spád a průměr jeden metr → umožňuje scalovat turbínu
D (průměr oběžného kola), H (spád)

Předpokládáme zachování účinnosti - ale není pravda, zhruba se ale počítá
eta lokality

Dlouhé Stráně
500m spád
Orlík
byli instalovány nesmyslně Kaplanky
nově 2 Francisovy a 2 reversibilní (pro budoucí přečerpávačku)
turbína 150m3/s, čerpadlo 110m3/s
provozní chakateristika
výkon
kde?
v generátoru?
před frekvenčním měničem?
partical works (Langrange)
oběžné kolo → tryska střílí antiperle → interakce antiperlí → každá způsobí nějakou interakci
Regulace průtoků
- ne škrcením - ztráty!
- axiální posun regulační jehly - měním plochu mezikruží (výtokové plochy)
typy olejů
Pneumatické systémy
návrh přivaděčů
přes Reynoldsova čísla ( zrychlosti z průtoku)
Turbíny
- Odstředivé turbíny, čerpadlový režim
- Objemové turbíny z našeho hlediska nedávají smysl
- Rozsah spádů od 2-2000m
- Rozdělení turbín pro určité spády - různé otáčky ← konstrukční problém
- osa otáčení → vertikální, horizontální
Hydraulické systémy
otevírám - zvyšuji otáčky, klesá H, roste Q
dává smysl provozovat jen do určitých otáček, teklo by mi zbytečně více vody
hmotnostní průtok ro*Q*v
hybnost
Hydraulický násobič
na základě Pascalova zákonu
Rozdělení turbín dle spádu a otáček

Typy čerpadel
Přečerpávací vodní elektrárny
Zjištění točivého momentu?
tenzometr
kolmatace dna
Opevnění prvků proti obrusu
- beton - obrušován
- obklady, pancíř,..
výtok ←→ vtok
- reversibilita
- zanoření pod dolní vodu - moderní stroje
- nechci širokou stavební jámu → blízko u břehu → ostré S - savka
- ne, generátor nejde dá pod turbínu
- sedimenty zespodu si tahám nahoru - nakldání s nimi může být složité
- jemný česle na obou stranách - dle režimu třeba zvedací
-
-
-
samobuzené kmitání
Vzdouváme vodu pro odběr a nátok na VE
Peltonova turbína
- nízké specifické otáčky → velké spády, nízké průtoky
- rovnotlaká - akční turbína - využívá pouze kinetickou složku energie
- průtok nezávislý na otáčkách
- průběžné otá
- přerušená čára energie, tlaková
- jednotlivé trysky (jednotryskové, dvoutryskové), symetrické lopatky
- chromniklová ocel -
- litím, poté obráběné; kované kvalitnější (do zápustku)
- chytáme paprsek do lopatky → voda tlačí (kontury tlaku - tlak*plocha*normálový vektor) → (uhlova rychlost*moment = výkon)
- čerpadlo, v potrubí vzduch, stlačí se, po vyletění z trysky "bouchne" → chceme se všude vyhnout
Trysky:
- Paprsek můžeme v případě havárie odvést, poté pomalu uzavřít trysku (ochrana proti rázům)
- Lineární pružina
Na oběžném kole (průměr 3m třeba) připevněn setrvačník ← kompenzace lopatkové frekvence - není konstantní přenost
- Ty největší → vertikální (svislá osa otáčení) - ložiskování, centrování,..
- Přívodní potrubí uzavíratelné kulovým uzávěrem - visí na čepu, těsnění má nějaký chod - otevřeno a těsnění je povolené, uavřu a těsnění se nafoukne a přicucne, jeden z nejtěsnějších uzávěrů.
- Podesta, rošt pod turbínou kvůli servisu, kolejnice
- výměna oběžného kola - (kavitace) + malé mechanické částečky - lze potlačit, ne eliminovat
- pískování - na mokro nebo na sucho
- svislá hřídel
- nahoře turbína, hřídelová spojka (zubová), dole čerpadlo
- hřídelová spojka: aby se netočilo čerpadlem při turbínovém režimu
- účinnost trysek - různé při daném Q, H a při určitém počtu
- čím menší paprsek, tím dříve se rozpadne
Vyvážení - statické (osa otáčení prochází těžištěm) a dynamické ("zjištění 3D elipsy průřezu" - elipsa setrvačnosti - elipsoid) - osa otáčením ≠ osa elipsoidu
Francisova turbína
- špičková účinnost placatá
Polyprepylen, polyethylen
lze svařovat, nelze spolu
PP vs. PE
Kritéria
- Průtok - Francis více vody, Peltonka velká
- Křivky účinnosti - hodně mašin - nevadí špičatá účinnost - jedna mašina - radši Peltonka
- Peltonka - protirázová ochrana (tripový problém - vylítne trafo,...), nad maximální provozní hladinou (dolní) - přichází ztráta, snazší výměna trysek (sedimenty)
- Francis - dávám tam, kde mi to dovolí kavitace (u velkých spádů dost nízko), složitá výměna (celkové rozebrání)
- Cena celkové realizace - Franciska dražší, ale ostatní potřebuje menší, ale zase mnohem níže
Strouhalovo číslo
https://dml.cz/bitstream/handle/10338.dmlcz/141072/PokrokyMFA_46-2001-2_3.pdf
https://www.vut.cz/www_base/zav_prace_soubor_verejne.php?file_id=213637
Vtokový objekt
- špatné natékání
- obtékání pilířů → vír → strhávání vzduchu
- správné natékání na česle
situační umístění
- za vnějším obloukem
- podpoření spirálového proudění výstavbou výmolů → podpoření proudění konkrétním směrem na rovném toku
- skluz před, nebere sedimenty - ale ztráta spádu
- Nejbližší pole u vtoku jako propláchovák (sand sluice)
- Vtok vybeven dnovým prahem (apron) - definuje sedimentační prostor - zpevněný
- může být dutý → proplachovací kanálky
- braní sunutému materiálu
- ve štěrkové - propustný uzávěr
- hrubé česle, nějak podepřené
- na (možná) horní straně - norná stěna (skimmer wall) - pochozí lávka pro zajištění manipulace
- jemné česle - nerez, pozink
- vždy, zásadní ochrana
- ekologové: jaká smí být světlá šířka
- profilované pásy
- Ztráty - dle tvaru, tloušťky a mezery, náklon ve směru toku (svislé se těžko čistí)
- čím více ukloněné, tím menší ztráta
- úplně zablokované nečistotami → hradící konsktrukce → nesmí se provalit
- nebo zavírat mašinu, musí být možnost uzavřít
- vlastní frekvence
- druhý práh a proplachovací stavítko, kanál pro písek
- přívodní kanál - možnost alespoň provizorního hrazení
- některé části mohu vynechat - záleží na kvalitě vody
Čistící stroje jemných česlí
Kunz firma
Sedimentace (Stokes)
Weberovo číslo
Tlakové vtokové objekty
- hodně hrubé česle
- předpokádáme, že bez sedimentace
-
Měření průtoku metdou tlak a čas = Gibsonova metoda
- hydraulický ráz po uzavření - trvá než se utlumí
- když známe charakterisitiky zjistíme průtok
- "jen" jedna rovnice