35) Biokatalyzátory
Created by Martin Krejzek

Prostetická skupina
Apoenzym
- Bílkovinná část enzymu
- Obsahuje aktivní centrum, na které se váže substrát
- Aktivní centrum je místo kde dochází k reakci
Koenzym
- Je slabě vázán na apoenzym
Jednoduchý enzym
- Složen z bílkovinné části
Složený enzym
- Složen z bílkovinné + nebílkovinné části
Kofaktor
Stereospecifita
- Pro průběh reakce je velice důležité prostorové uspořádání i orientace enzymu
- Enzym se dokáže přizpůsobit v prostoru
Specifita účinku
- Enzym katalyzuje pouze jednu určitou reakci
- Určuje typ reakce, které bude substrát podléhat
- Hydrogenace, dyhydratace atd.
Substrátová specifita
- Enzym je schopen přeměňovat určitý substrát
Transferasy
- Přenáší skupiny atomů mezi dvěma substráty
Vtah klíče a zámku
- Analogie k aktivnímu centru, které musí svým tvarem přesně odpovídat tvaru substrátu
Oxidoreduktasy
- Katalyzují oxidaci a redukci
- Přenášejí nebo odebírají elektrony
Systematické názvosloví
- Enzymy jsou rozděleny do 6-ti tříd podle typu reakce, kterou katalyzují (ovlivňují)
Lipasa
Teorie indukovaného/vyvolaného přizpůsobení

- Substrát indukuje aktivní centrum
- Přizpůsobí se aktivnímu centru
Teplota
- Aktivita enzymu roste s teplotou (ideál mezi 25 - 37 stupni celsia)
- Naopak aktivita enzymu se zastavuje, snížíme-li teplotu pod 25 stupňů celisa
- Konzervace chladem v ledničce atp.
pH
- Každý enzym má určitou optimální oblast pH, při které má nejvyšší účinnost
- Pepsin je v žaludku s pH 1 až 2
Testosteron

Progesteron

Enzymy

- Jsou to velice účinné biokatalyzátory
- Urychlují nebo zpomalují chemické reakce v metabolických drahách
- Stejně jako ostatní katalyzátory snižují aktivační energii (EA), která je potřebná k uskutečnění reakce
Aktivátory
- Chemická látka která odštěpí část, která tam něco blukuje
Pepsin/Aktivátory

- Jedná se o aktivátor
- Chemická látka která odštěpí část, která tam něco blukuje
Tyroxin

- Hormon štítné žlázy, protože obsahuje jód
Steran
- Jedná se o pohlavní/steroidní hormony
Inhibitory
- Snižuje se aktivita enzymů
Chlorofyl

- Bude -li tam ve prostřed hořčík, jedná se o chlorofyl
- Bude-li tam železe, jedná se o hemoglobin
- Skládá se z pyrolových jader
Kompetetivní inhibice/soutěživá
- Rozhoduje koncentrace látek
- To co má větší koncentraci, se snáze dostane
- Inhibitor je strukturově podobný substrátu
- Váže se na aktivní centrum enzymu a blokuje ho do doby, dokud ho substrát z místa nevyhodí
- Stalo by se tak kdyby měl vyšší koncentraci než inhibitor
- Příklad:
- Antibiotika
- Proto slabý prášek na bolest nepomůže, protože má malou koncentraci
Alosterická inhibice
- Inhibitor se váže na místo enzymu - alos, které způsobí změnu struktury aktivního centra
- Je to způsob, jak zabránit enzymu aby tam šel
Nekompetitivní inhibice/nesoutěživá
- Inhibitor je trvale vázán na aktivní centrum
Regulační a koordinační
- Mozek koordinuje
- Regulace nervová je rychlejší
- Je ale energeticky náročnější
- Hormonální regulace je pomalejší než nervové, ale energeticky méně náročné
- Jeden hormon zacílý na několik orgánů zároveň
ATP

- Adenin
- Sacharid
- 3 fosfoskupiny
- Jedná se o ATP
- Přenáší energii
- Je-li u u kyslíku mínus, jedná se o disociované kyseliny a o zbytek kyseliny
- V organismu jsou kyseliny vždy disociované
Koenzymy

- Spadají pod kofaktor
- Koenzym není pevně vázán a je jich obrovské množství
- A tudíž něco může přenášet
35) Biokatalyzátory

Podle rozpustnosti
- Hydrofilní
- Hydrofobní
Acetylkoenzym A

- Adenin
- Sacharidová složka
- V případě když za X dosadíme H vzniká koenzym A
- V případě když za X dosadíme acetyl tak vzniká acetylkoenzym A
- Co je tam za vazby
- Peptidická vazba
- Esterová vazba
Hormony

- Regulační organické látky vylučované buňkami
Rozdělení hormonů
Podle chemické struktury
- Bílkovinné
- Odvozené od peptidů a proteinů
- Steroidy
- Obsahuje steran
- Progesteron a testosteron
- Glykoproteiny
- Obsahují sacharidovou složku
Vitamíny

- Jsou to esenciální složky potravy
- Jsou nezbytné pro život a nelze je vyrobit
- Nedostatek vitamínů v potravě může způsobit hypovitaminózu nebo avitaminózu - nejsou vůbec
- Naopak nedměrný příjem může vyvolat hypervitaminózu
NAD+/NADP

- CONH2
- Derivát kyseliny
- Jedná se o amid (kys. nikotinové = nikotinamid)
- Sacharid
- Báze
- Fosfoskupina
- Adenin
- Sacharid + báze + fosfoskupina = nukleotid
- Jsou tam 2 nukleotidy vedle sebe
- Je to obrázek koenzym NAD
- Nikotinamid - adenin - dinukleotid
- V případě když se za X dosadí vodík
- Katalyzuje oxidaci a redukci
- Tzn. hydrogenaci a dehydrogenaci
- Příbuzný je NADP
- Nikotinamid - amid - difosfát
- V případě když se za X dosadí fosfoskupina
Podle vzdálenosti na kterou působí
- Autokrinní
- Ovlivňují konkrétně jednu bku
- Parakrinní
- Ovlivňují nejbližší okolí
- Endokrinní
- Působí na velkou vzdálenost
Riboflavin

- Adenin
- Sacharidová složka
- Fosfoskupina
- Jedná se o nukleotid, konkrétně riboflavin
- FMN = flavinmononukleotid
- Z něj vzniká FAD
Získávání vitamínů

Z provitamínů
- Některě vitamíny nepřijímá organismus v potravě hotové, ale ve formě provitamínů
- Například z provitamínu A (B-karotenu) se dá získat vitamín A
Antioxidanty
- Vychytávají volné radikály a chrání tělo před jejich nepříznivými účinky
Střevní mikrobiom
- Výroba vitamínu K za účasti bakterií
- Miminka berou vitamín K, aby došlo k nastartování střevní mikroflóry
Mají podobné účinky jako hormony
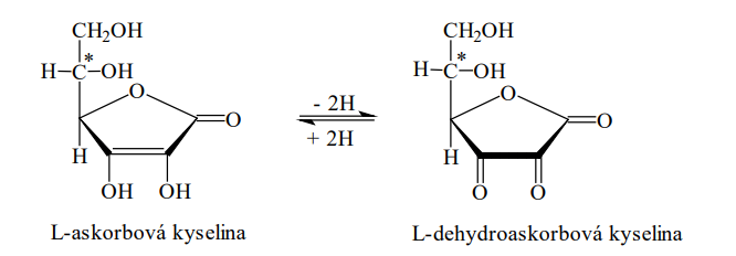
Vitamín C = kyselina askorobvá

- Všechny organismy kromě lidí a primátů ho dokážou syntetizovat
- Nachází se v šípkách a rybízu
Vitamín K = fylochinon

- Vyrábí ho střevní mikrobiom
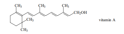
Vitamín A = retinol

- Provitamínem A je B-karoten
- Má konjugované vazby
- Které způsobují barevnost
B12 = kobalamin
- Přijímáme ho potravou
- V rostlinné stravě ve fermentované formě
Vitamín E = tokofelory

- Nachází se ve vajíčku
- Je to antioxidant
Fce
- Nedostatek vitamínu A způsobuje šeroslepost
- Při předávkování je velice toxický
Vitamín D = kalcifelor

- Vyskytuje se v rybím tuku, másle a vytváří se účinkem UV záření ze steroidních látek
B1
Hyperavitaminóza
B2 = riboflavin

- V kvasnicích a mléce
- Kofaktor enzymů
Fce
- Podílí se na metabolismu vápníku a fosforečnanů
Hypoavitaminóza
Hypoavitaminóza
Názvosloví enzymů
Triviální názvy
Pepsin
Trypsin
Podle substrátu + asa
Amylasa
Složení a struktura enzymů
Typy enzymu
Může to být
Vlastnosti enzymů
- Měly/musí splňovat vlastnosti enzymů
Skupinová
Mechanismus účinku
Vliv na aktivitu enzymů
Z potrravy
Fce vitamínů
Kofaktory enzymů
Prekurzory kofaktorů
Rozdělení vitamínů
Podle struktury
Podle fce
Podel rozpustnosti
Rozpustné v tucích
Rozpustné ve vodě
B-komplex vitamínů
Fce