OrgPad logo

Tvoříme dějiny Beta

Created by Jakub

Tvoříme dějiny Beta

SDC10886

Jak se měnili hranice států v historii

SDC10887

řečtí

Hunové

warriors3

Odkaz na stránku v angličtině,

která ovšem jakkoli nedovoluje ověřit důvěryhodnost.

 

otázka:Justinian

Byl Justinian římský císař?

SDC10880

středověk

... a tady budeme pokračovat.

SDC10883

da Vinci - Poslední večeře

Poslední večeře je nástěnná malba v jídelně (refektáři) kláštera dominikánů v Miláně.

Na dalších listech bubliny je vidět, jak nasvícení stěny ovlivňuje dojem z obrazu. Zdroj informací je zde.

obr 33

obr 46

otázka

Měl Attila rád koně?

Čtení s novým začátkem

E.H.Gombrich: Stručné dějiny světa pro mladé čtenáře

kapitola: Bouře

Apoštol Pavel

Toto je odkaz na práci z University Karlovy. Můžete si z něj udělat představu, jak se na vysoké škole, universitě, pracuje. 

Všimněte si jak používá zdroje, jak často uvádí odkud informace čerpá ap.

apoštolové

800px-Comunione degli apostoli, cella 35

Je tento článek důvěryhodným zdrojem informací o apoštolech?

Kdo je autorka? Odkud informace bere?

otázka

Došli Vandalové až do Kartága?

Peloponéská válka

https://cs.wikipedia.org/wiki/Pelopon%C3%A9sk%C3%A1_v%C3%A1lka

BOHOVÉ

křesťanství

otázka¨

Kolik bylo apoštolů?

12

obálka

otázka

V jakém roce došlo k Peloponéské válce mezi Trojou a Spartou?

Hipparchos

Hipparchos (160-120 př.n.l.) 

Tvrdil, že Země je ve středu vesmíru. Aby vysvětlil pohyb planet po obloze, zavedl vedlejší kružnice - epycykly. Sám si ale nebyl jistý, zda je to správně. Proto začal měřit a zapisovat detailnější údaje o pohybu planet.

Dodnes tak může sloužit jako zářný příklad vědce, který nezištně sbírá informace, aniž by je mohl použít, pro následující generace vědců.

otázka

Co to je trigonometrie?

Čtení o vzestupech a pádech

E.H.Gombrich: Stručné dějiny světa pro mladé čtenáře

kapitola: Jak se žilo v říši a na jejích hranicích

otázka

Má Alexandr z filmu sorávnou barvu vlasu?

 

 

 

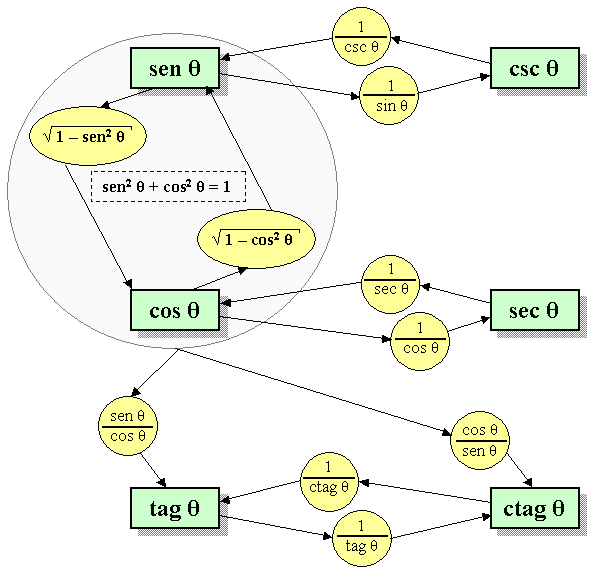
trigonometrie

Identidades trigonométricas fundamentales

Čtení o konci svobodných řeckých polis

E.H.Gombrich: Stručné dějiny světa pro mladé čtenáře

kapitola: Největší dobrodružství (část 1)

 

VĚDCI

Aristocharos ze Samu

Aristarachos ze Samu (310-250 př.n.l.)

Přijal myšlenku, že se Země otáčí kolem své osy, a navíc ji "nechal" obíhat kolem Slunce. Odhadoval totiž poměry velikostí Slunce, Měsíce a Zěmě. Vycházelo mu, že Slunce musí být mnohem větší než Země. Proto ho, jako důležitější, umístil do středu vesmíru. Jako učenec žijící v Alexandrii znal i egyptské náboženství. Věděl tedy, že Egypťané považují Slunce za nejvyššího boha.

Proslul jako zakladatel trigonometrie.

Zapněte si dole titulky. Můžete si nastavit překlad do češtiny.
Jen je to trochu kostrbatý překlad :)

římští

V této prezentaci je popis římských zvyků a postojů k bohům. 

 

Ra a jeho chrám

wikiheslo

PROROCTVÍ

Připoj bubliny, ve kterých se objevují proroctví či věštby.

Istanbul, Cařihrad, Konstantinopol

Tady je jeden příklad z východu římské říše :)

Čtení o proměnách víry

E.H.Gombrich: Stručné dějiny světa pro mladé čtenáře

kapitola: Radostná zvěst

římský beton

Římané vynylezli a s oblibou používali beton. Vytvořili díky němu architekturu zcela odlišnou od řecké. Mohli díky němu vytvářet oblouky a kopule. Vznikali tak mnohem příjemnější, prosvětlenější vnitřní prostory a mnohé z toho co Řekové řešili venku na agoře se u Římanů přesunulo do vnitř, do budov.

římská formace želva

otázka

Jak se jmenovalo město, které na počest svého koně Bucefal nechal pojmenovat Alexandr Veliký? Sofi.

touha dobývat

Malý Alexandr se zlobil na svho otce, když něco dobyl. Měl strach, že už nebude mít, co dobývat. Toužil už jako dítě dobývat svět.

Film Byl jednou jeden objevitel

první díl

druhý díl

Čtení o muži, který si umanul změnit svět po svém

E.H.Gombrich: Stručné dějiny světa pro mladé čtenáře

kapitola: Největší dobrodružství (část 2)

otázka:různé názvy jedné věci

Některé věci, lidé či místa mají více názvů. Jaký příklad je v této kapitole?

Španělsko, Hispanie.

Francie, Galie.  Laura.

kůň Bucefalos

Shazoval každého, protože se bál svého stínu. Ale Alexander ho poznal, otočil ho na slunci. Jako jediný ho zkrotil.

 

Filip 2. Makedonský

Filip Makedonský (vikipedie)

dětství

Hannibal

pohodlí v římských městech

Jak to možná vypadalo v římských Pompejích.

Město plné pohodlí, podobně jako dnes. Tekoucí voda, chodníky, obchody, úklid ulic, atd.

otázka

v kolika letech zemřel Filip 2. Makedonský?

ve 46ti letech. 336 př.n.l. Sofi.

rozpad světové říše

-Ptolemájovci vládli v Egyptě

-Seleukovci vládli v Mezopotámii

- Atalovci v Malé Ásii

Podobně jako Pompeje vypadala i další římská města. Například Italica

v dnešním Španělsku.

mapa měst

Zvětšená mapa k prohlížení.

otázka: Praha

Jaké římany založené sídlo (město, tábor legií ap.) je současné Praze nejblíž?

otázka

Jak se jmenoval Alexandrův kůň?

Eliška: Bucefalos

Aristotelés

- Alexandrův učitel.

- Jeho spisy četli lidé ještě dalších 2000 let.

- Psal o přírodě, historii, politice, logice, etice, básnickém umění,

a o bohu.

gordický uzel

gordický uzelhttps://cs.wikipedia.org/wiki/Gordick%C3%BD_uzel

slovo gordion je podobné jako české slovo hrad, jako anglické slovo garden a ruské gorod

 

 

(to mi taky poradil táta)

řecko2

Čtení o milovnících práva

E.H.Gombrich: Stručné dějiny světa pro mladé čtenáře

kapitola: O nových bojovnících a nových bojích (1.část)

Čtení se slony

EHGombrich: Stručné dějiny světa pro mladé čtenáře

kapitola: O nových bojovýchcích a nových bojích (2.část)

otázka

Z jakého města pocházel Hannibal?

silnice

silnice

otázka

Kde (v čem) bydlel Diogenes?

Eliška: V sudu

Alexandr Veliký (Makedonský)

Dokument o Alexandru Velikém 43min

 

Alexandr Veliký

dokument o tažení Alexandra

 

otázka

čím rozdělal Alexandr gordický uzel?

Alexandr spěchal a uzel rozsekl mečem. Laura.

Diogenes

otázka: Zakladatelé národa

Mnohé národy mají ve svých pověstech nějakou o počátcích svého bytí, o tom proč se jmenují jak se jmenují nebo proč jsou ve světě vyjímečné. 

Na kolik jich přijdeme?

přes Alpy

V současnosti přes Alpy vede více různých cest. Například vzduchem. Ale je taky jen pro odvážné.

diogenes

otázka

Jak se jmenoval otec Alexandra Velkého?

Filip veliký. Eliška

Alexandrie

praotec Čech

Aeneas přibyl do Itálie podobně jako praptec Čech do Čech. Je to podobná pověst. A jak to bylo doopravdy? Možné vysvětlení je zde.

otázka

O co požádal Diogenes Alexandra?

Aby mu nestínil slunce. Eliška

otázka

v kolika letech Alexandr zemřel?

učitel Jakub: v Kristových letech

otázka: Tvůj vztek

Co nebo kdo Tě v poslední době naštvalo?

otázka

proč nechal Alexandr vybudovat Alexandrii?

 

učitel Jakub: čas 12:40 v dokumentu na konci zeleného vlákna

Tažení Alexandra

Jedno video v češtině. Pěkně a stručně zpracovaná dějepisná kapitola.

 

Animated reconstruction of Alexander's campaign.

Řím

Kompas času Římská říše díl 1 a 2

republika v Římě

SDC11146

SDC11148

SDC11147 (2)

otázka

Jak se menovali bratři které vychovala vlčice?

romulus,rémus

Čtení jak se císař stal málem králem

E.H.Gombrich: Stručné dějiny světa pro mladé čtenáře

kapitola: Vládci západního světa (2.část)

 

otázka: vztek

Proč se tak rozčilují? Proč dělají, že neví kde je Alesie?

uspořádání společnosti

Každá lidská společnost hledá pravidla soužití. Potřebujeme nějaké způsoby jak se spolu domluvit, jak řešit spory. Vlastně jak se vedle sebe či spolu mít dobře.

Asterix

Asterix a slavný štít

alesia1

Asterix a slavný štít

alesia2

Čtení o volbě vůdců říše

E.H.Gombrich: Stručné dějiny světa pro mladé čtenáře

kapitola: Vládci západního světa (1.část)

Otázka: Kdo zabil Cesara?

otázka: král či císař

Byl Caesar císař?

otázka

Co to je/byla Alesia?

zdraví vojáků

všichni si s sebou nosili stříbrnné misky a tím si udržovali zdraví.

 

 

(to mi poradil táta)      

otázka

Kdo to byl konsul?

Julius Caesar

Alesie

legie

uživatel

Ráchel

Pravidla

otázka

Kde Všeobecná deklarace lidských práv neplatí?

otroctví

život chlapců

otázka

Co znamená: "VENI VIDI VICI"??

(řekl to Gaius Julius Caesar)

 

 

Názvy měsíců

Jména měsíců známe od malička. Ale proč jsou k jednotlivým obdobím roku připojena právě ta slova, která používáme? A proč se to týká antického Říma? Odpovědi jsou v tomto videu.

otázka: válka

Jsou v současnosti nějaká města obléhána?

kdo používá tuto barvu

Právo na práci, právo na odpočinek

Dnes je právo na rozumně dlouhou pracovní dobu zakotveno ve Všeobecné deklaraci lidských práv (zde jen výběr o práci a volnu.)

V té se signatáři (ti co to podepsali) zavázali, že každý člověk na světe něco může a něco i musí. Podepisovali to státníci za své země a platí skoro ve všech koutech světa.

Zápisky o válce galské

Kniha sedmá - část o obléhání Alesie 

73. Téhož času muselo se stavební dříví sváželi, spížovali a tak veliké ohrady stavětí, při zmenšených zástupech našich, které dále od táboru postupovaly: nad to někdy Gallové o naši práci ukládali a výpad z města více branami činili s největším úsilím se pokoušeli; pročež mínil Caesar, že opět hradeb přidávali musí, aby ohrady menším počtem bráněny býti mohly. Proto kmenů stromových nebo velmi pevných větví nasekav a jejich konce oloupav a zaostřiv, souvislé příkopy 5 stop hluboké vedl. Sem tato břevna spuštěna a ode spodu uvázána, aby nemohla vytržena býti od vétví vyčnívala. Bylo patero řad mezi sebou spojených a spletených: kdož tam se dostali, suni se v ostré kolí zaplétali. Toto cippy nazývali. Před nimi v nerovných řadách křížem rozestavených jámy tři stopy hluboké se vykopávaly se svahem ke dm trochu užším. Sem oblé koly stlouští stehna na vroholi přiostřené a opálené se zapouštěly, tak že ne více než čtyři prsty ze země vyčnívaly; zároveň к upevnění a ustálení na stopu od spodního dna země bylo napěchováno ostatní část к utajení nástrah roštím a proutím byla přikryta. Osmero řad takovým spůsobera vedených po třech stopách od sebe vzdáleno bylo. To z podobnosti ku květině lilie nazývali. Před tím roubíky, stopu dlouhé se zaraženými železnými udicemi, celé do země se zakopávaly a v prostředních vzdálenostech na všech místech se roztrušovali; ty nazývali ostny.

zdroj

LIBER SEPTIMVS

[73] Erat eodem tempore et materiari et frumentari et tantas munitiones fieri necesse deminutis nostris copiis quae longius ab castris progrediebantur: ac non numquam opera nostra Galli temptare atque eruptionem ex oppido pluribus portis summa vi facere conabantur. Quare ad haec rursus opera addendum Caesar putavit, quo minore numero militum munitiones defendi possent. Itaque truncis arborum aut admodum firmis ramis abscisis atque horum delibratis ac praeacutis cacuminibus perpetuae fossae quinos pedes altae ducebantur. Huc illi stipites demissi et ab infimo revincti, ne revelli possent, ab ramis eminebant. Quini erant ordines coniuncti inter se atque implicati; quo qui intraverant, se ipsi acutissimis vallis induebant. Hos cippos appellabant. Ante quos obliquis ordinibus in quincuncem dispositis scrobes tres in altitudinem pedes fodiebantur paulatim angustiore ad infimum fastigio. Huc teretes stipites feminis crassitudine ab summo praeacuti et praeusti demittebantur, ita ut non amplius digitis quattuor ex terra eminerent; simul confirmandi et stabiliendi causa singuli ab infimo solo pedes terra exculcabantur, reliqua pars scrobis ad occultandas insidias viminibus ac virgultis integebatur. Huius generis octoni ordines ducti ternos inter se pedes distabant. Id ex similitudine floris lilium appellabant. Ante haec taleae pedem longae ferreis hamis infixis totae in terram infodiebantur mediocribusque intermissis spatiis omnibus locis disserebantur; quos stimulos nominabant.

zdroj

nebo si to poslechni (Chvilku počkej, je tam anglický úvod. Pak už je latina)

tato barva je

obléhání

obležení celek

Bílé bubliny, černá vlákna

Černobílá kombinace je kostra naší šítě.

Věnuj ji pozornost, projdi si všechny její bubliny.

Jak žili staří římané

JSRZ1

JSRZ2

JSRZ3

JSRZ4

otázka:Maginotova linie

Co je to Maginotova linie? Proč se na to ptám?

sofia

Spartakus

Úsporné, ale událostí plné video o Spartakovi.

V nastavení můžete najít automatické titulky. Jsou ale hodně kostrbaté.

Seznam dalších videí o antických tématech

život dívek

uživatelka

Terka

otázka: porovnání

Říká slečna Sandra to samé co se píše v učebnici "Dějiny starověkého Řecka a Říma?"

otázka: porozumění

Rozumíte těm cizím jazykům? Jaké jazyky to jsou?

LEGO model

Vyrobili jsme s mým synem model obléhacího opevnění, které Julius Caesar popisuje v "Zápiscích o válce galské."

 

opevnění

 

SDC10927

SDC11155

Vyplň jméno

Napiš své jméno do bubliny, jejíž barvu budeš používat pro bubliny se svými nápady. Propojovací čáru používej také svou, jo?

Římská polévka

Jára

Laura

Jak se tvoří bubliny

Kratičký souhrn, jak na bubliny. Přidávání, propojení.

tvoření.mp4

 

Ovládání prohlížení barevných map poznání.

prohlížení.mp4

 

vojenská strava

Článek o jídle vojáků, jak a kde sháněli potraviny, co jedliap.

mojebarva

Matouš

Jakub

Alma

Sofí

Eliška

učitel Jakub