142PPVD a YGPV - Přehrady a provoz vodních děl a Geotechnické problémy vodních staveb - Zápisky z přednášky a rozbor k úlohám
Created by Nikol Vypior (osobní/personal)
Rozbory k úlohám/úkolům z předmětu 142PPVD Přehrady a provoz vodních děl na ČVUT FSv v LS21/22
#betonová hráz, #průsak, #přehrada, #sypaná hráz, #voda, #vodní díla, #vzorce, #výpočty, #čvut

odlesňování Amazonie
ve světovém soupisu 120 přehrad
15m hráz nebo x mil kubíků
vyloženě ochranná hráz
Jordán, Tábor
pro zajištění vody v městských studních
vedle jaderné elektrárny by měla být přečerpávací elektrárna
- pro uložení energie
- jinak ohřívá dráty → blackout
vlhkost jde mezi obratníky směrem k nám
účel přehrady
- zdroj surové vody pro úpravu (zásobní funkce)
- průmyslová revoluce → SZ Čechy
- ochranná funkce
- další funkce
- průmysl, zemědělství
- povodně
- ekologie (nalepšování), kompenzace (klimatická změna)
- ryby
- rekreace
- estetika
u nás méně prší
EIA - Vyhodnocení vlivů na životní prostředí
Nové Heřminovy
PPO, příprava 20 let
Hostivařská přehrada 2013
- otevření výpustí → zhoršení situace špatnou manipulací?
- Co by se stalo kdyby se protrhla? (2005)
- geometrická data Botiče → v roce 2005 o 0,5m výše → povodeň 2013 snížila koryto
Skalička
suchý poldr
- malá vodní díla
- voda normálně pouze protéká
přehrady v Jizerských h.
poté se začali řešit povodně v Manipulačním řádu
nyní doba návratnosti 10-15 let
domek hrázného, technologické vybavení, zázemí
odkaliště
povodně na přelomu 19. a 20. století
povodeň 2002
- vše otevřeli a nic se nedalo dělat → stal se rybníkem → jedna výhoda - voda tekla do hráze a voda nastoupala o metr výš než je retenční hladina → nezaplavila se Malá Strana
- účel nového přelivu → aby se nestalo, že vše otevřeme a čekáme → u velké vody se udrží maximální hladina, pustí se více vody dolů..
Slapy - vyrovnávací nádrž pod Orlíkem
koruna hráze
Ovládací zařízení pro stavidla
přečerpávací elektrárna u Lipna
- spolupráce s Rakouskem - Labe a Dunaj
- velké spády, dobré podloží
- pro ekology neschůdné - míchání vody kvůli živému
Orlík - špičková elektrárna
ale uvažuje se o přečerpávací elektrárně
původně dílo pouze pro spád pro vodní elektrárnu
- 60. léta minulého století
- výroba elektřiny spalováním uhlí
- začíná se využívat chemický průmysl - škoda pálit uhlí → zplinování
- doba návratnosti 4 roky
dispečink hráze
Objekt spodní výpusti
tlumení energie vody
vývar
bezpečnostní přelivy
Vltavská kaskáda
odbahnění
skluz
ve světě někde chybí
Taitun v Brazílii (100m) - nelze vypustit
Zápisky z první přednášky
Podklady pro cvičení
Zapisky-cviceni-PPVD-2021-VYPIORn.pdf
Tabulka pro zatřídění zemin

Schéma pro zatřídění zemin

Charakteristiky zemin

Prázdnění nádrže
Rozteč česlic dle velikosti výpusti

Z ČEHO STABILIZAČNÍ ČÁST NA KŘIVCE ZRNITOSTI?

stabilizační část - oblast 3, spíš 4 - po zhutnění propustné
Úkol č. 6 - Bezpečnostní přelivy
V dané lokalitě vyřešte hydraulicky a navrhněte konstrukčně přelivný objekt pro betonovou a sypanou přehradu. Návrhovou povodeň uvažujte s velmi malou pravděpodobností výskytu p < 10‐4 tj. Q10 000.
Řešení bude obsahovat:
- nalezení Q10 000 jako návrhové resp. kontrolní povodně pro dimenzování bezpečnostního přelivu
- hydraulickým návrhem odpovídajícího přelivu
- konstrukčním řešením přelivného objektu (stavební výkresy v příčném řezu) – pro tížnou betonovou přehradu (přímý přeliv) – pro sypanou přehradu (boční či šachtový přeliv)
- zakreslením vybraného přehradního typu do situace včetně přelivného objektu
sklony - druhy opevnění - délka rozběhu

Neškodný odtok
- od úrovně v nádrži v polovině Vz
- Q = Q5
Dle přehrady
Sypaná hráz - dlouhé vs. krátké potrubí, řešení odpadu od výpustí a prostor na uzávěry, řešení uzávěrů
Betonové - vždy dlouhé, hydraulicky krátké
ČSN 75 2410 "Malé vodní nádrže" (1997)
Účely
úkol č. 5 - Spodní výpusti
V dané lokalitě vyřešte hydraulicky a navrhněte konstrukčně objekt spodních výpustí objekt pro betonovou a sypanou přehradu.
- určením návrhového průtoku a spádu při plnění účelů spodních výpustí
- hydraulickým návrhem spodní výpusti, který zahrnuje návrh uzávěrů typů (vč. místních ztrát)
- konstrukčním řešením objektu spodní výpusti (stavební výkresy v příčném řezu)
- pro tížnou betonovou přehradu (dlouhá SV na celou šířku tělesa přehrady)
- pro sypanou přehradu (výběr – krátké spodní výpusti vs. dlouhé spodní výpusti)
- zakreslením objektu spodní výpusti do situace včetně bezpečnostního přelivu – ODEVZDAT AŽ SE CVIČENÍM č. 6
Hydraulika šachtových přelivů


Nalepšený průtok
- od úrovně Hs - hladina stálého nadržení
- Qnad = Qa
Hydraulický výpočet
Stanovení návrhových hodnot
- určit návrhové průtoky extrapolací známých hydrologických dat pro stanovení Q10000
- lineární a logaritmickou aproximaci známých dat v normálním, semilogaritmickém a logaritmickém měřítku
- otázka nejvhodnější aproximace?
- základní analýza aproximace ve vztahu k znázorněným polohám bodů a popisu
- případná úprava vstupních dat
- zdůvodnění výsledné hodnotu návrhového resp. kontrolního průtoku Q10000
Přelivy sypaných hrází


Nehomogenní hráz s návodním těsněním

Stavba
- ochrana staveniště 10% pravděpodobnost překročení
- 4 roky výstavba
- úroveň hladiny za ochrannou jímkou na úrovni Hs

Průměr potrubí
- Zvolit uzávěry (na výpustech) – vždy 3 vč. místní ztráty (dle literatury)
- Minimálně 2 ks výpustí
- Při profilu nad 3000 mm přidat výpust.
- Zvolit délku potrubí dle uspořádání (u betonové hráze celá šířka u sypané krátké vs. dlouhé)
- Ztráty na vtoku a výtoku de literatury
volba h_n

Přepad


skupiny zemin s vlastnosmi včetně filtračního koeficientu

Průtok spodní výpustí

3 uzávěry
1 revizní + 2 provozní (z toho 1 regulační)

Hydraulický návrh
- obvyklá výška p řepadového paprsku u nehrazených přelivů pro návrhové, respektive kontrolní průtoky, se pohybuje v rozmezí 0,8 – 1,8 m. Zejména u sypaných hrází je vhodné cílit na přepadovou výšku kolem 1,0 m s ohledem na nárůst objemu tělesa hráze při vyšších přepadových paprscích.
- U ovladatelných bezpečnostních přelivů je pak možné provádět i přepadové výšky v jednotách metrů (3 ‐5) – pozor u návrhu hrazených přelivů je třeba je rozdělit na větší počet polí (minimálně 2 – obvykle 3 či více podle šířky dilatačních bloků tížných hrází).
- přímých přelivů je třeba určit tvar přelivné plochy a tedy i vztah součinitele přepadu a přepadové výšky; základní vzorce z hydrauliky
- boční přelivy navrhujeme shodně jako přímé, jen je třeba vzít v potaz případné ovlivnění nízkou hloubkou před přelivem a správně vyřešit šířku a sklon spadiště, aby nedošlo k zahlcení a ovlivnění přepadového paprsku; opět základní vzorce z hydrauliky
- u šachtových přelivů pro sypané hráze je situace komplikovanější s potenciálním zahlcením systému. Návrh provedeme tak, aby nedošlo k zahlcení ani vtoku ani šachty a navazující chodby nebo tunelu. K ovlivnění bezpečně nedochází, pokud je tloušťka přepadajícího paprsku h menší než 0,15 D (průměr vtoku šachty). Vzorce v literatuře platí pro tvar vtoku podle výzkumu Wagnera v roce 1954. Jiné vtoky mohou vykazovat jinou závislost součinitele přepadu na přepadové výšce.
- Např. pro VD Jirkov byl odvozen vztah
- Haindl pro Wagnera
Tabulka vhodnosti zemin pro různé zóny hutnění hrází

Creagerova plocha


Smetanova tlaková plocha

m
Nehomogenní (zonální) hráz se středním těsněním


Křivka zrnitosti

Konstrukční řešení
- pro betonovou tížnou hráz zakreslit do příčného řezu tvar přelivu + odvod vody
- pro sypanou hráz dle volby boční vs. šachtový přeliv provést výkres řezu bočním respektive šachovým přelivem

Skupiny zemin a jejich vlastnosti

Průběhy hladin a průsaky v sypané hrázi
Určete velikost průsakového množství a sestrojte přibližný průběh hladiny v tělese sypané hráze při maximální hladině vody v nádrži. Parametry zemin, stejně jako tvary těles hrází určuje úloha č. 3. Řešení proveďte pro:
1) homogenní zemní přehradu bez drenážního prvku (absentující či nefunkční / ucpaný)
2) homogenní zemní přehradu s drenážním prvkem (patní drén)
3) heterogenní kamenitou přehradu se středním těsněním (zemním či AB)
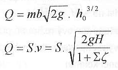
VZORCE






Beztlakové plochy vysokých přelivů (s/ha >= 2,8)



Homogenní hráz


Výkresy
Specifikovat parametry uvažovaných zemin


přibližné analytické řešení - zjednodušení
- ustálený stav - Hmax
- nepropustné podloží
- proudění pouze v saturované zóně
- řešíme homogenní oblast (heterogenní homogenizujeme)
- anizotropii aproximuje změnou geometrie
- proudnice rovnoběžné (změna gradientu, neplatí v blízkosti drénu)
Příčný řez s průběhem průsaku

Skluzy
3 případy:

Tabulka sklonů hrází dle použité zeminy

jako první v 90% případů
Nehomogenní hráz se středním těsněním ŘEZ

Blok půdy → teoretický průběh čáry průsaku

Průsaková křivka
parabola s ohniskem v počátku výronové plochy

průběh průsakové křivky

přeliv boční

- Voda přepadá převážně kolmo na směr toku do spadiště
- Ze se odvádí rovnoběžně s hranou
- Výhodou je pohodlné prodlužování přelivné hrany → Často nehrazený
- Nevýhodou zvýšené náklady na skladiště
- Použití hlavně u sypaných přehrad
- Přesný výpočet všech hydraulických jevů spojených s bočním přelivem je obtížný– proudění je prostorové a průtok nepermanentní
- Tvar koruny nejčastěji jednoduchý kruhově zaoblený tvar
- Skladiště se navrhuje i pro největší průtoky jako dokonalý přepad
- Podélný sklon spadiště bývá jednotný 2 až 10%
- Délka skladiště je v podstatě určena délkou přelivné hrany
- Hydraulickým výpočtem se určí šířka skladiště sklon dna hloubka a výškové umístění
- K odvedení vody od bočního přelivu do koryta pod přehradou se dnes obvykle navrhuje skluz– koryto s velkým sklonem dna (až desítky%) s nerovnoměrným bystrým prouděním, spojeno s provzdušněním proudu, průřez obdélníkový, lichoběžníkovými nebo složený
- hydraulicky nejvýhodnější přímý skluz, v případě potřeby vhodné provést oblouk v horní části s malým sklonem při menších průtočných rychlostech
Stavidlo uzávěr
- Neregulační uzávěr
- uzavíracím tělesem je tabule, která se pohybuje v drážce kolmo nebo šikmo na směr proudění vody
- vhodný jako revizní uzávěr i dovnitř výpusti
- Prostor za stavidlem se často za vzdušňuje
- bude se na kolech nebo válečcích malá stavidla mohou být smyková
- Jako závěs slouží Gaullovy řetězy nebo cévové tyče
Jehlový Johnsonův uzávěr
- Regulační uzávěr
- Umístěn na konci potrubí s dutým průřezem paprsku
- Je hlas porodnice novým tvarem se pohybuje při zavírání směrem po vodě i proti vodě
- Víte takový paprsek je dutý a silně provzdušněnou proto je namáhání vývaru zmenšeno
- Nevyžaduje tlumící komoru
přeliv postranní

- Voda přepadá rovnoběžně s vodním tokem
- Použitelný u všech přehradních typů neboť je vybudován mimo těleso přehrady často v jeho pokračování
- Voda nejčastěji odtéká skluzem
- Výlomové a betonářské práce zdražují tento způsob převádění průtoků
- Někdy ekonomicky výhodné vodu převést do užšího koryta skluzu
Odpadní štola
- Podobné řešení skluzu
- voda přitéká velkou rychlostí, sklon dna je malý → dochází ke vzdouvání hladiny - nerovnoměrný zpomalený pohyb
- zabránění vodního skoku → nadkritický sklon
- dostatečné zavzdušnění
- při odvodu vody i ze spodních výpustí je nutné ověřit její funkci na hydraulickém modelu
Základní konstrukční řešení SYPANÉ HRÁZE s příslušným objemem
- Navrhnout vzorový příčný řez
- odpovídající sklony svahů
- Jedna situace
- Předpokládat potřebu omezení průsaků v podloží hráze
ČSN 75 0255 "Výpočet účinků vln na stavby na vodních nádržích a zdržích" (1987)
navazuje na ČSN 73 6500 "výpočet účinků vln"
přeliv šachtový


- Vhodný při menších návrhových průtocích nebo pokud je li obtížné vytvořit korunový přeliv nebo skluz od bočního popřípadě postranního přelivu v úzkém údolí se strmými svahy
- Výhoda - možné zapojení do sdruženého objektu nebo při využití obtokového tunelu jako odpadu od přelivu

- obsahuje vtokovou část, přechodovou část, šachtu, koleno a odpadní štolu
- Vtoková část zpravidla kruhová s normální nebo širokou korunou (u starších přehrad)
- na koruně a nebo i v přechodové části se často navrhují usměrňující žebra – brání vzniku náhodných vírů a stabilizují proudění
- Přeliv nejčastěji nehrazený, může se ale hradit stavidlo vím segmentovým nebo válcovým závěrem
- Přechodová část spojuje v takovou část s šachtou– její tvar ovlivňuje i zahlcení přelivu, prověřuje se hydraulickým výzkumem
- Šachta na kruhový průřez s průměrem alespoň 3m a bývá zpravidla svislá
- V horní části voda padá za určitých průtoků volným pádem až do úrovně zahlcení odkud nastává tlakový průtok směsi vody a vzduchu plným profilem
- při šroubovitém pohybu vody má tento přechodový jev formu prstencového vodního skoku a vhání do tlakového průtoku pod sebou vzduch → ten zvětšuje provzdušnění proudu vyvolané volně padajícím paprskem
- Zahlcování šachtového přelivu
- Se s větším průtoku postupně roste délka zahlceného úseku šachty
- Vtoková i přechodová část přelivu musí být řešena tak aby se nezahltila dříve než šachta
- šachta přechází do odpadní štoly kolenem zpravidla kruhovým s co největším poloměrem zakřivení
- Odpadní štola v novém tělese je často dvouetážová
- spodní etáží se vede voda od přelivu a spodních výpustí
- Horní etáž je přístupová
- Odpadní štola od šachtového přelivu se v poslední době navrhuje vesměs s volnou hladinou
- dochází ke zpomalování pohybu
- nutné dobře zavzdušnit
- Průtok s volnou hladinou podstatně omezuje tlakové pulzace
- vývar za výtokem ze štoly má obtížnější hydraulickou funkci než vývar pod korunovým přelivem → Vodní proud na konci štoly je soustředěn na malou šířku → Mírné průtoky i rychlosti jsou velké
- vtok do vývaru je téměř vodorovný
- Ve výtoku z vývaru do odpadního koryta s říčním prouděním mohou vzniknout 3 různé hydraulické režimy:
- Výtok pod hladinou dolní vody
- Nezahlcený výtok s povrchovým režimem (bývá nejčastější)
- Dnový vodní skok - stačí obvyklý vývar, vhodné použít prahy
Při předběžných výpočtech se uvažuje: 
Dokonalý: 
Zahlcení při: 
- h... výška přepadového paprsku
- R... poloměr nálevky
V rozmezí přechodový stav
- U nás součástí sdruženého objektu
- Budují se hlavně u sypaných přehrad
- Při výpočtu stability je nutné uvážit možné vibrace a tlak ledové celiny
- Bezpečné vyloučení volného nezamrzne hladiny kolem objektu nejlépe bublinkováním
Darcyho zákon
(v této souřadné soustavě)

Rozstřikovací uzávěr
- Koncový regulační uzávěr
- Nejpoužívanější díky své jednoduchosti a nízké ceně
- Pevná část
- kužel obrácený proti vodě na jehož vrcholu je přivařena ocelová tyč
- radiálními žebry přivařenými k tyči a kužel je pevná část připevněna k plášti uzávěru
- Pohyblivá část
- po vnější straně pláště pevné části se pohybuje prstencová pohyblivá část uzávěru vedená lištami
- V uzavřené poloze dosedá pohyblivá část na věnec těsněním připevněný ke kužel
- nevýhodou je široký paprsek rozprašovat vodu do značné vzdálenosti
-
Kůželový uzávěr
- Regulační uzávěr s mezikruhovým průřezem průtočné plochy
- Uzavírá se pohybem válcového tělesa s rovným koncem ve směru osy potrubí buď po vodě nebo proti vodě
- Odvozen z jehlového uzávěru
- Zavzdušňovací kus za uzávěrem
Odplavitelná hrázka
U sypaných přehrad je možno při velkých návrhových průtocích zlevnit přelivný objekt převedením části kontrolní povodně pomocným přelivem - odplavitelnou hrázkou.
Po určitou kótu hladiny působí jako vzdouvací objekt. Když ja kóta překročena, začne se voda přes hrázku přelévat a přibližně při výšce přepadového paprsku 50cm jí odplaví. No povodní je nutno hrázku znovu nasypat.
Výhodná je li velký rozdíl mezi kontrolní a návrhovou povodní
přeliv korunový

- Hlavní výhodou je svedení vodu do toky pod nádrží velmi jednoduchým způsobem– po vzdušným líci/svahu přehrady
- typický pro betonové popřípadě zděné přehrady, snad jen s výjimkou klenbových přehrad - zde přelivná hrana případně zakřivená
- Tvar tak, aby co největší součinitel přepadu m
- přelivné plochy se konstruují na principu proudnicových ploch
- mohou být tlakové, bezpodtlakové nebo podtlakové
- před uzávěrem je drážka provizorního hrazení
- od korunového přelivu padá voda do vývaru zpravidla volným pádem
- u nízkých sypaných přehrad se vytváří betonový funkční blok pro korunový přeliv
Typy
Tunelové přelivy
Hrazený hydrostatickým vahadlovým uzávěrem
Výpočet výběhu větrové vlny
Rychlost větru 10m nad hladinou
Zvolit si s rozmezí:

Ve skutečnosti měření.

Schéma výpočtu Efektivní délky rozběhu větrové vlny


vzorec

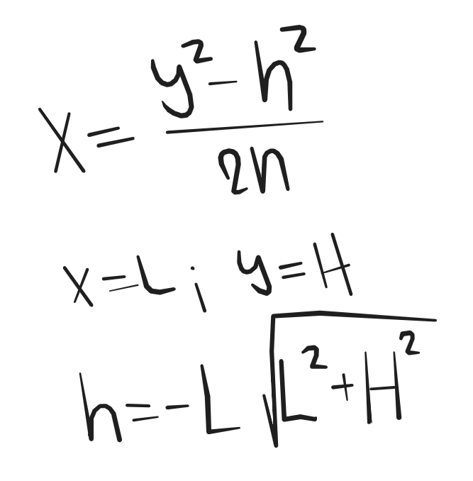
H ... hloubka vody před zemním tělesem
h ... výška výronové plochy na vzdušním líci zemního tělesa
L ... délka zem. tělesa
k ... součinitel filtrace
Klapkový uzávěr
- Neregulační uzávěr
- Uzavíracím tělesem je deska čočkovitého tvaru, otočná v čepech uložených v pouzdře uzávěru
- deska zmenšuje průtočnou plochu i v otevřené poloze
- Osa klapky je vodorovná nebo svislá a bývá mimoběžná k ose potrubí, aby přetlak na větší polovinu dotlačoval klapku na těsnicí lišty
- jednoduchý, ale málo těsní
Násoskové přelivy
Typy uzávěrů na výpustích
Při volbě typu uzávěru vycházíme především z požadované funkce – například požadavek regulace průtoku velké těsnosti malých ztrát za plného otevření a podobně - a z charakteristik jednotlivých typů. Uzávěry jsou nejčastějším zdrojem poruch výpustí. Musí se pamatovat na možnost poruchy za provozu a musí se zajistit podmínky pro její odstranění
Prstencový uzávěr
Regulační uzávěr s mezi kruhovým průřezem průtočné plochy
Nejpříznivější výtokové poměry - zejména při menším otevření a při některých spádech
Segmentový uzávěr
- Koncový regulační uzávěr
- Může se použít i uvnitř štoly ve spojení s uzávěrou šachtou
- Kruhový průřez se před ním převádí přechodovým kusem na obdélníkový
- U starších výpustí se používal segment obrácený proti vodě konvexní stranou jako u jednotlivých segmentových uzávěrů
- Je možno kotvit do betonu jen shora a zdola, po stranách musí zůstat volný
- Poháněn hydromotorem
Místní ztráty
- česle, vtok, uzávěry, změna směru, zúžení
- většinou ale přímá potrubí o konstantním průměruz
dočasné hrázky
nechci aby se někde přelévalo → pytle s pískem na koruně
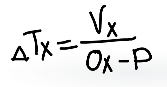
Prázdnění nádrže – úplné nebo částečné
- Je dán požadavek na vyprázdnění nebo povyprázdnění nádrže za určitou dobu T
- Postupuje se sbližováním
- Odhadne se průřez výpusti S1 a hledá se k němu početně nebo graficky příslušné T1 tak, že se stanoví pro jednotlivé vrstvy nádrže dílčí doby potřebné k jejich vyprázdnění a stanoví se výsledné T
- každé vrstvě a objemu Vx přísluší jiné Hx a jemu určité Ox


Bezpečnostní přelivy
- Pojistná bezpečnostní zařízení proti přelití
- zajišťuje neškodné převedení povodňových průtoků do koryta pod přehradou
- Prvořadý význam spolehlivost jeho funkce ← Závisí na spolehlivost jí hydrologického podkladu o kombinačních průtocích a objemech povodních na správném hydraulickém výpočtu přelivu i odpadu od něho na správném návrhu a provedení příslušných objektů a konstrukcí a na odborném provozu
- U sypaných přehrad je nutno vyloučit přelití přehradního tělesa
- bez přelivu mohou být pouze horní nádrže přečerpávacích vodních elektráren, poldry a jiné nádrže bez vlivu vlastního povodí - spolehlivě zajištěno, že nedojde k jejich přeplnění
Návrhová povodňová vlna (NPV)
Graf pro stanovení charakterisitcké výšky vlny v hlubokém a mělkém pásmu

Převod větru na hladinu

Brýlový uzávěr
- Neregulační uzávěr
- Uzavíracím tělesem je deska vyšší než dvojnásobek světového průměru potrubí
- V 1 polovině je otvor stejných rozměrů a tvarů jako potrubí
- Dneska se pohybuje v tělese uzávěru kolmo na osu potrubí
- Výška brýlové ho uzávěru je vyšší než trojnásobek průměru potrubí
- těsnost je velmi dobrá
Klínový uzávěr
- Zpravidla ne regulační uzávěr
- uzavíracím tělesem je klínová deska
- pohybuje se v tělese uzávěru kolmo na osu potrubí
- Při vytažení se dneska zasune do pouzdra
- Pohyb se děje otáčivým táhlem se závitem v matici (elektrický motor nebo ručně) nebo servomotorem s posunem táhla ve směru zdvihu
- těsnost je velká použitelnost při menších průměrech i pro největší tlaky prostřední tlaky asi do průměru 2m
- Nehodí se pro mezipolohy
Spodní ("základová") výpust
- u dna nádrže
- slouží k:
- regulaci hladiny vody v nádrži,
- zajištění požadovaného průtoku
- u vysokých přehrad i střední výpusti
- v tělese (kratší) nebo mimo
- betonové: ocelové potrubí
- sypané: beton. objekt spodních výpustí
Nehrazené přelivy
- Především bezpečnější protože jejich funkce závisí jen na poloze hladiny v nádrži
- Konstrukčně jednodušší, vyžadují minimální údržbu
- Nevýhoda: pro převedení velkých průtoků vyžadují buď velkou přepadovou výšku nebo velkou délku přelivné hrany
- Maximální přepadová výška nehrazeného přílivu se omezuje na 1,5 až 2m
Dimenzování

Výpočtové výšky a periody vln (op ravděpodobnosti překročení 13%)
Parametry :
→ Grafy
Odečteme hodnoty: 
Dopočítáme z nich: 
Koeficient K_w

Hydraulický výpočet
- Volíme nejnepříznivější případ, který zahrne i plnění všech ostatních účelů
- pro každý účel – návrhové kritérium – je nutné znát dvojici návrhových hodnot Q a H
Vypouštění neškodného průtoku za povodně
- Vypouštění neškodného odtoku Qn
- Tlačná výška Hz
- Určitý počet výpustí mimo provoz (popř. ty s největší kapacitou)
-
| Celkový počet spodních výpustí | Mimo provoz | |
| | sypaných | betonových |
| 1-4 | 1 | 1 |
| 4+ | 2 | 1 |
Hrazené přelivy
- Výhody:
- Možnost regulace hladiny v rozsahu hrazené výšky
- Povodňové průtoky je možno převést bez zvyšování hladiny v nádrži
- Dálku přelivné hrany je možno ve srovnání s hrazeným přelivem podstatně snížit
- Nevýhody:
- možnost selhání
- Vyšší náklady
- Nároky na údržbu
- Nároky na obsluhu
- použití jezových uzávěrů– převážně 2 typy: klapkový uzávěr pro nižší hrazené výšky (3 - 4m) a segmentový uzávěr pro vyšší hrazené výšky (až do 18m)

Kontrolní povodňová vlna (KPV)
Graf pro stanovení periody vlny v hlubokém a mělkém pásmu

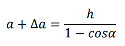
Zvýšení hladiny vlivem namáhání větrem k objektu

delta - úhel mezi větrem a normálou k objektu

Konstrukční řešení
Stavidlové uzávěry
- Zpravidla se vytahují vzhůru, mohou být i spustené nebo mohou umožňovat obojí pohyb
- Před pilířovou drážkou pro pohyb stavidla je dráčka pro provizorní hra divadla
- Manipulační most a jeřábová dráha musí být dostatečně vysoko → vysoké pilíře
- Pro rozpustná stavidla stačí pilíře nižší
Sektorový uzávěr
Betonové tíživé přehrady
- Revizní uzávěr – stavidlo
- Návodní provozní uzávěr– stavidlo na potrubí
- komora uzávěru je důkladně za vzdušněna potrubím z koruny přehrady
- Povodní provozní uzávěr je rozstřikovací - potrubí před ním je zúženo → menší průměr uzávěru
- Vtok je rozšířený a má obdélníkový průřez, teprve za návodním provoznímu závěrem je proveden přechod z obdélníkového průřezu na kruhový
- spojení spodních výpustí a přelivu do 1 funkčního bloku je pro moderní tíživé betonové přehrady typické
Funkce výpustí
- Prázdnění nádrže – úplné nebo částečné
- Vypouštění neškodného průtoku za povodně
- Nalepšování průtoku pod přehradou
- Převádění průtoků za opravy při prázdné nádrži
- Převádění průtoků zástavby
Uzávěry přelivů
- Hrazením zvětšujeme ovladatelný prostor nádrže
- Zvýšení nákladů na hradící konstrukce a jejich údržbu
- Při částečném vyhrazení může voda přepadat horem (hrazení spustené nebo sklopné, dovoluje jemnější regulaci odtoku) nebo vytékat spodem
- stavidlové, segmentové, klapkové, vahadlové a sektorové uzávěry,..
Přelivné plochy
U bezpodtlakových ploch je h = hn součinitel přepadu m = 0,48-0,49
Pavlovského vzorce:

Uvažujeme každou 100. vlnu


trvání účinku větru
T - výpočtová perioda vln
Úprava rychlosti dle délky trvání (iterace)

zvyšuji w10,z
Nalepšování průtoku pod přehradou
Délka vlny

Pancéřovaná tlumící komora/kanál
Sypané přehrady
- Složitý funkční objekt → Vtoková část, štola a výtoková část
- takový objekt – česle, vtokdo vypustí, výpustné potrubí s uzávěry a komora uzávěrů
- ocelové potrubí minimální délky ústící do odpadní štoly
- revizní uzávěr a návodní provozní uzávěr je klínu, původní provozní uzávěr je rozstřikovací
- výpustné potrubí ústí do zalomeného pancéřovaného odpadního kanálu
- Navržen tak, aby se v něm tvořil prstencový vodní skok který zajistí intenzivní provzdušnění vypouštěné vody
- Voda odtéká odpadní štolou nad níž je komunikační chodba pro přístup do komory uzávěru
- jen výjimečně se dnes potrubí spodních výpustí ukládá do štoly pod celým tělesem sypané přehrady
Převádění průtoků za stavby nebo při opravě
- Tlačná výška dle výšky provizorní hrázky
Vahadlový uzávěr
- Sklopný uzávěr
- Tlačná komora do níž se vahadlo sklápí má značné rozměry
- Výška hrazení je omezena do 4m vzhledem k prostornosti tlačné komory
Segmentový uzávěr
- Zpravidla se zvedá ale může se i spouštět
- Nižší pilíře než u segmentu
- Menší zdvižená síla
- Velmi oblíbený uzávěr
- Už zdvižných segmentů lze získat výhodu regulace horem nasazenou klapkou
Klapka
- Nejjednodušším uzávěrem sklopným dolů
- Ve sklopené poloze je součástí bell plochy
- Dutá konstrukce zajišťuje prostorovou tuhost
- Hrozená výška zpravidla nepřesahuje 4m
Postupová rychlost vlny

Výška výběhu vlny

Hodnoty hyperbolických funkcí

Prstencový skok
- Hydraulický jev na přechodu prstencového proudění do průtoku plným profilem, vodní skok v potrubí
- tlumení kinetické energie s oxidací vody pomocí přechodového jevu proudění
- pro jistotu vytvoření jevu je vhodné odpadní kanál nechat klesat za výtokem z uzávěru
- přechodový jev proudění vhání vzduch do tlakového průtoku → za ním dojde k silně turbulentním proudění směsi vody a vzduchu → dokonalé nasycení vody kyslíkem (významné u vod chudých na kyslík)
Graf pro stanovení k_p

Koeficient k_d, drsnost svahu
