OrgPad logo

3) Číselné obory a elementární teorie čísel

Created by Nikol Vypior (osobní/personal)

Teoretický úvod do problematiky v rozsahu školní maturity z jednoho pražského gymnázia, včetně příkladů v levé části stránky. Materiály vytvořené studenty, neprošly korekturou a není možné garantovat byly jejich správnost či úplnost.

#celá čísla, #iracionální čísla, #komplexní čísla, #matematické příklady, #matematika, #matika, #maturita, #maturitni otazky, #maturitní otázky, #priklady k maturite, #prvočísla, #přirozena čísla, #příklady, #příklady k maturitě, #příklady z matematiky, #recionální čísla, #reální čísla, #číselné obory

3) Číselné obory a elementární teorie čísel

Zobrazení čísel na číselné ose - jak zakreslit poměr? jak odmocninu čísla?

Příklady - Číselné obory 👇

image

Příklady - Reálná čísla 👇

25 (2)

Příklady - Komplexní čísla 👇

31 (2)

Neutrální prvek

Neutrálním prvkem je číslo, které  při dané operaci nezmění svého partnera. Při násobení třeba jednička.

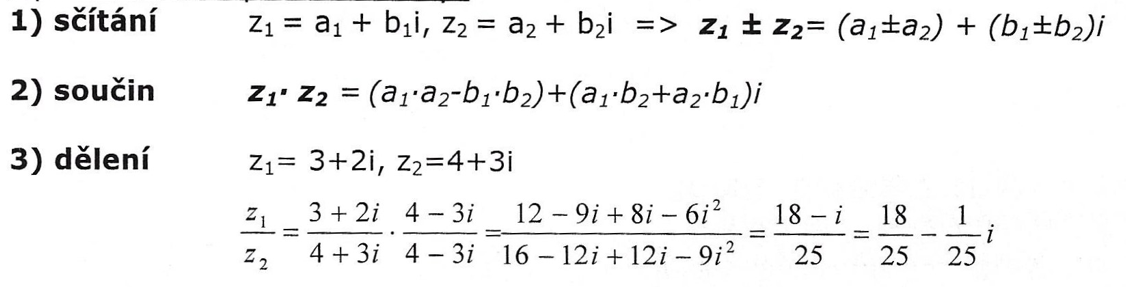
Komplexní čísla

image

Asociativita

Můžeme měnit rozmístění závorek? U sčítání ano, u odečítání rozhodně ne!

image

image

Distributivnost

Je možné závorky roznásobit!

image

image

image

Inverzní prvek

Ke každému prvku existuje prvek, který při dané operaci dá za výsledek neutrální prvek. Při násobení 2 zvolíme jako inverzní prvek 1/2 a za výsledek dostaneme neutrální 1.

image

Základní operace v C

imageimage

image

image

image

image

Uzavřenost

Sčítání je operace uzavřená na obor (výsledkem sčítání čísel daného oboru je číslo oboru stejného). 

Odčítání není uzavřenou operací. Můžeme dostat číslo jiného oboru. Např. 5 - 7 = -2

Operace s komplexními čísly

image

Komutativnost

U sčítání a násobení nezáleží na pořadí, po změně pořadí vždy získáme stejný výsledek.

Vlastnosti číselných oborů

image

Důkazy dělitelnosti

image

image

image

image

image

image

image

image

Číselné obory

Obor čísel je množina všech čísel určitého druhu.

image

Reálná čísla

image

image

Absolutní hodnota reálného čísla

Absolutní hodnota každého reálného čísla je rovna vzdálenosti tohoto čísla odp očátku číselné osy.

image

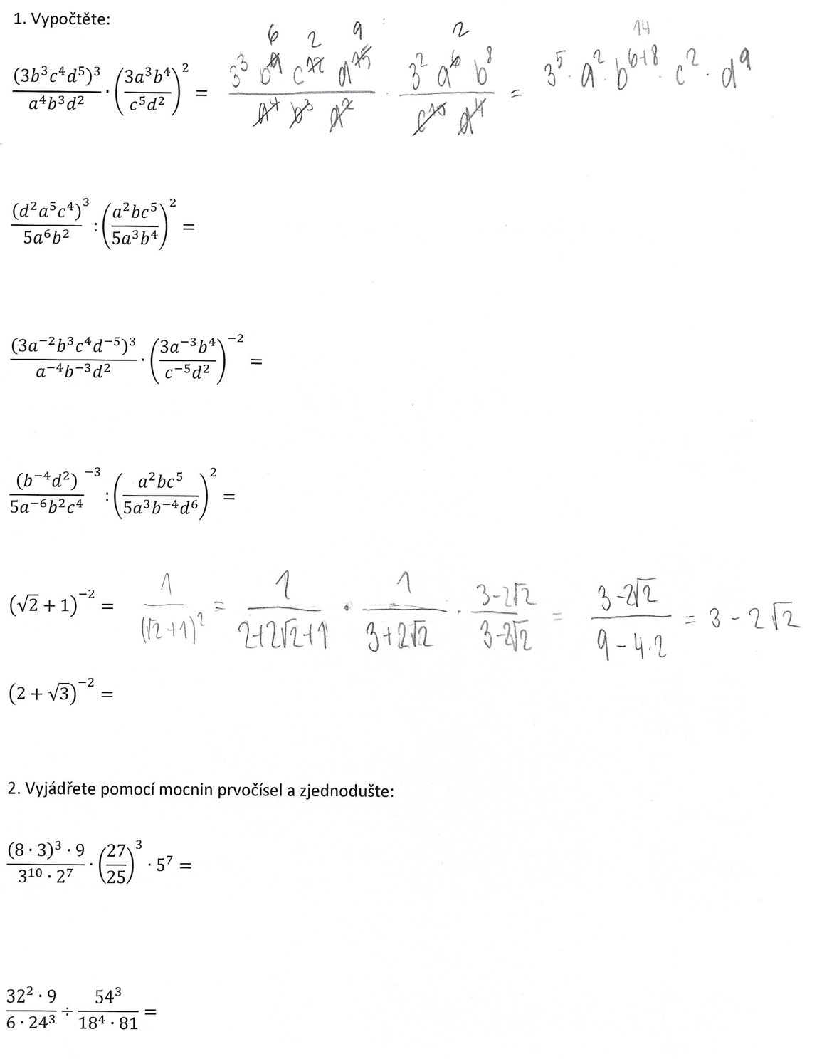
Mocniny s přirozeným mocnitelem

image

image

Dělení a abs. hodnota

image

imageimage

image

image

Složené číslo

každé přirozené číslo, které má alespoň tři různé dělitele (např. 4, 6, 8)

Rozklad na prvočinitele

rozložení čísla na na součin prvočísel

60 = 6 * 10 = 2 * 3 * 2 * 5

Prvočíslo

kaýdé přirozené číslo dělitelné pouze jedničkou a sebou samým

Přirozená čísla

image

Mocniny a odmocniny

image

Celá čísla

image

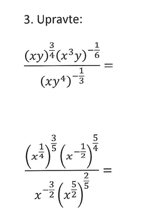
Mocniny s celočíselným mocnitelem

image

image

Rovnice v C a s absolutní hodnotou

image

image

Nejmenší společný násobek (NSN)

image

Znaky dělitelnosti přirozených čísel

image

Největší společný dělitel (NSD)

image

Racionální a iracionální čísla

image

Odmocniny

image

Soudělnost čísel

image

Gaussova rovina

image

image

image

image