Biochemie
Created by Tereza Danišová

2-deoxy-D-ribofuranosa
Rostlinné
D-ribofuranosa
Živočišné
- tuky získávané ze zvířat
- tuky z teplokrevných živočichů a ryb
- sádlo, ...
Monosacharidy
- monos - jednoduchý, sacchar - cukr
- základní cukry, které už dál nemůžeme dělit - štěpit
- = polyhydroxyaldehydy, polyhydroxyketony
- jsou to samostatné látky, ale i základní stavbní kameny oligosacharidů a polysacharidů
- v molekule se nachází 3 až 7 uhlíků
- podle přítomnosti aldehydové skupiny nebo ketonové skupiny dělíme na:
- nejjednodušší cukry vzniknou dehydrogenací glycerolu:

- glyceraldehyd - aldotriosa

- dihydroxyaceton - tetrotriosa
- typické krystalické látky
- dobře rozpustné ve vodě a v polárních rozpouštědlech
- chirální sloučeniny
- podle počtu uhlíků: triosy, tetrosy, pentosy a hexosy
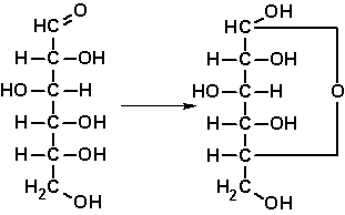
- v roztoku převážně v cyklických formách - pětičlenný kruh - furanosa
- např.:
- glukosa
- fruktosa
- mannosa
- galaktosa
- ribosa
- deoxyribosa
Polysachaidy
- polymerní sacharidy
- tvořeny monosacharidovými jednotkami - spojeny glykosidovou vazbou
- často jsou amorfní a nerozpustné ve vodě
- nemají sladkou chuť
- velmi rozšířené látky v přírodě
- např.:
- škrob, glykogen, celulóza a chitin
- ŠKROB:
- zásobní polysacharid rostlin
- škrob se skládá z amylózy a amylopektinu
- zdroji škrobu jsou brambory, rýže, pšenice a kukuřice
- tvoří koloidní roztoky
- průmyslově se získává z brambor a obilovin
- důkaz Lugolovým roztokem - jod v KI - zbarví se modře
- GLYKOGEN:
- zásobní polysacharid živočichů
- rozpustný ve vodě
- lidské tělo obsahuje asi kolem 400g - v játrech a svalech
- CHITIN:
- exoskelet členovců, buněčná stěna hub a řas
- CELULÓZA:
- tvoří větší část rostlinné tkáně
- jedna z hlavních složek dřeva
- glukózové jednotky spojené ß-vazbou
- člověk nedokáže celulózu metabolizovat - nemáme příslušné enzymy
- HEPARIN
- INULIN
Glykolipidy
- lipidy s cukernou složkou v molekule
- účast v buňečném rozpoznávání
- vznik spojením sacharidového řetězce s fosfolipidem buněčné membrány
- na povrchu všech eukaryotických buněk
Fosfolipidy
- patří mezi složené lipidy obsahující fosfor
- hlavní částí všech buněčných membrán
- obsahují jako základ glycerol
- část je hydrofilní a část je hydrofobní
Rostlinné
- slunečnicový olej
- dýňový olej
- kokosový olej
- konopný olej
- makový olej
- mandlový olej
- olivový olej
- palmový olej
- řepkový olej
- arganový olej
Tuky
- estery vyšších mastných kyselin s trojsytným glycerolem
- jednoduché lipidy
- většinou jsou esterifikovány všechny 3 hydroxyskupiny - triacylglyceroly
- nejčastěji tvořeny 3 MK - olejová, linolová, palmitová (stearová)
Vosky
- estery vyšších mastných kyselin a vyšších jednosytných alkoholů
- nejčastější MK: palmitová, laurová, myristová, stearová
- u rostlin i živočichů
- odolné vůči hydrolýze a nepodléhají enzymatickému rozkladu - nejsou stravitelné
- ochrana před vysycháním a průnikem patogenů
- u rostlin i živočichů mohou být na povrchu těla
- rostliny - kutikula
- vlastnosti vosků:
- tuhé
- nerozpustné ve vodě, rozpustné v nepolárních rozpouštědlech (benzín, chloroform,...)
- odolné vůči oxidaci a hydrolýze
- jsou hořlavé a spalují se dokonaleji než parafín
- známé vosky:
- včelí vosk
- čínský vosk
- lanolin
- vorvňovina
- karnaubský
Jednoduché
Složité
Oleje
- kapalina tvořená molekulami, které obsahují hydrofobní uhlovodíkové řetězce
- nerozpouštějí se ve vodě
- mají menší hustotu než voda
- potravinářské oleje jsou za běžné teploty kapalné
- hlavní složkou - triacylglyceroly
Glyceridy
- také acylglyceroly
- estery tvořené glycerolem a MK, velmi hydrofobní
- glycerol má 3 hydroxylové funkční skupiny
- esterifikace - mono-, di-, nebo triglycerid
Jednoduché
Složené
Oligosacharidy
- cukry složené z několika monosacharidových podjednotek
- 2 - 10
- podobné vlastnosti jako monosacharidy
- významné především disacharidy
- jsou rozpustné ve vodě a mají sladkou chuť
- vznikají spojením monosacharidů glykosidovou vazbou
- např.:
- maltóza - sladový cukr
- laktóza - mléčný cukr
- sacharóza - řepný, třtinový cukr

Živočišné
Sacharidy
- přírodní organické látky rostlinného i živočišného původu
- funkce:
- stavební
- zdroj E
- zásobní látky (zdroj "atomů")
- nízkomolekulové sacharidy jsou rozpustné ve vodě - často mívají sladkou chuť
- makromolekulární polysacharidy jsou ve vodě rozpustné jen mizivě - většinou jsou bez chuti
- a nebo mohou být i sacharidy, které jsou zcela nerozpustné ve vodě - celulóza, vlákniny
- základní stavební jednotkou jsou monosacharidy - nejjednodušší sacharidy vůbec
- 2 základní strukturní formy - lineární a cyklické
- chiralita - uhlík má 4 různé substituenty
- stereoizomery (prostorové izomery)
- stejný sumární vzorec
- maximální počet je 2n - n je počet chirálních center
- Fischerova projekce
- u cyklických forem existuje i zobrazení v Haworthově projekci
- enantiomery
- dvojice stereoizomerů jsou právě zrcadlovými obrazy
- označení L-, D-
- epimery
- liší se konfigurací pouze na jednom chirálním uhlíku
- D-glukóza, D-manóza

- ALDOSY:
- triosy:

- tetrosy:
+ D-threosa, L-threosa - aldopentózy:
- D-ribosa
- D-arabinosa
- D-xylosa
- D-lyxosa
- + L izomery
- aldohexosy:
- D-glukosa
- D-mannosa
- D-galaktosa

- KETOSY:
- analogicky, jenom je jich míň
- D-fruktosa

- Fischerův vzorec, Tollensův vzorec, Haworthův vzorec


Proteiny
- bílkoviny
- složené z aminokyselin spojených peptidovou vazbou mezi karboxylem jedné aminokyseliny a aminoskupinou následující aminokyseliny
- podstatou všech živých organismů
Těžké kovy
- nebezpečné pro organismy
- nevyskytují se v živých organismech
- olovo, rtuť, kadmium
Lipidy
- přírodní organické látky produkované živočichy i rostlinami
- estery vyšších mastných karboxylových kyselin a glycerolu
- vlastnosti:
- nerozpustné ve vodě (málo)
- pevné/kapalné
- lehčí než voda
- rozpustné v organických rozpouštedlech
- struktura:
- alkohol - glycerol, (sfingosin)

- VMK:
- kyselina palmitová - 16C
- kyselina stearová - 18C
- kyselina olejová - 18C
- ...
- lipidy jsou součástí fospolipidových dvojvrstev - stěny buněk
- polární hlavička a nepolární ocásek

Biogenní prvky
- makrobiogenní - H, O, C, N, Ca, P
- mikrobiogenní - S, K, Na, Mg, Cl
- stopové - Fe, Zn, Cu, I, Mn, Mo, Co, B, Si, V
Voda
- 60 - 95% živých tkání
- charakteristický je bod varu a bod tání
- vodíkové můstky
- rozpuštěné ionty
Organické sloučeniny
- struktura je založena na uhlíku - C
- jedná se často o sloučeniny obsahující mnoho atomů C - sled atomů uhlíku přímo napojených na sebe
- otevřené řetezce
- uzavřené řetězce - cykly
- podle počtů cyklů v molekule:
- sloučeniny necyklické - acyklické
- sloučeniny cyklické
- sloučeniny monocyklické - s jedním cyklem
- sloučeniny bicyklické - se dvěmy cykly
- sloučeniny tricyklické - se třemi cykly
- ...
- sloučeniny polycyklické - s mnoha cykly
- sloučeniny heterocyklické - jeden atom uhlíku je v cyklu nahrazen jiným atomem (kyslík, dusík, ...) - "heteros" - cizí
- zvláštní případ cyklické sloučeniny - šestičlenný cyklus
- 6 atomů uhlíku v cyklu
- mezi atomy se střídají dvojné a jednoduché vazby - aromatický cyklus
- aromatické sloučeniny - nejjednodušším zástupcem je uhlovodík benzen
- sloučeniny bez aromatického cyklu - alifatické sloučeniny
Deoxyribonukleová kyselina
Nukleové kyseliny
- biochemická makromolekulární látka
- tvořená polynukleotidovým řetězcem - uchování genetické informace
- nalézají se ve všech živých buňkách i virech
Biochemie
- biochemie je hraniční obor mezi biologií a chemií
- zabývá se stavbou živých organismů
- dělí se na: popisnou a dynamickou
Ribonukleová kyselina
Biokatalyzátory
Biomolekuly
- voda
- organické sloučeniny
- minerály
- stopové prvky v koordinačních sloučeninách
Historie
- počátky kolem roku 1828
- Friedrich Wöhler syntetizoval močovinu
- dokázal tak, že se živá a neživá příroda skládá ze stejných látek
Minerály
- asi 5% anorganické složky
- regulují fyzikálně-chemické poměry
- Na+, Ca2+, HCO3-
Stopové prvky
zdroje
- wikipedie
- sešit chemie
- obrázky google