HYA2 - Hydraulika potrubí
Created by Nikol Vypior (osobní/personal)
#hydraulika, #hydrodynamika, #proudění, #tlakové proudění

Specifické množství balastních vod
30 l/os/den
Počet obyvatel O
- RD 4EO
- Byt do 50m2 2 EO
- 50-75m2 3EO
- 75m2 4EO
EO = ekvivalentní obyvatel
výpočtový parametr definovaný produkcí znečištění 60 g BSK5 za den … pro návrh ČOV
Biochemická Spotřeba Kyslíku za 5 dní, tzn. biologický ukazatel znečištění (v mg/l)
v relativních tlacích

Splaškové OV


Splaškový průtok q [l/ob./den] = spec. potřeba/produkce vody
z počtu ekvivalentní obyvatel
- trvala žijící
- pracovní příležitosti
- průmysl
Pro současný stav se uvažuje 150 l/EO/den, pro výhledový 160l/EO/den
v absolutních tlacích

Q_24,m

Q_h,max

Průběh průtoků při částečném plnění

Částečné plnění

Hydraulicke hodnoty pri castecnem plneni.pdf
Q_dim

Variace denních průtoků ve stokové síti

Posouzení tlakových poměrů v potrubí

Bernoulliho rovnice pro ustálené proudění skutečné kapacity





Ztráty
- vlivem nenulové vazkosti dochází při proudění k přeměně mechanikcé energie na jinou formu

Ztráty místní

Pražský standard k provzdušnění
Při větších průtokových rychlostech strhává voda s sebou i vzduch. Takto vytvořená směs vzduchu a vody má větší objem než čistá voda. Míra provzdušnění se vyjadřuje součinitelem provzdušnění ρa, který udává poměr průtoků vody a směsi vody a vzduchu. Pokud jsou sklony větší než 35 ‰ pro všechny kruhové profily do 1000 mm (včetně) a 30 ‰ pro profily nad 1000 mm, je nutno počítat při hydraulickém výpočtu s provzdušněním vodního proudu. Profily jiného druhu, než kruhové se posuzují podle kruhového tvaru se stejným hydraulickým poloměrem R.
Ztráty třením



Odečtení Q-kap a v_kap pro DN a i z tabulek
Tabulky kapacitniho plneni a kapacitni rychlosti.pdf
Výpočet kapacity potrubí (gravitační)


Provzdušnění proudu

vlivem turbulence, směs vody a vzduchu, zvýšení objemu
stupeň turbulence Qv/Qz <1


Struktura proudění a rozdělení rychlostí (HY3)
při sklonu nad 3,5%
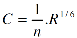
hydraulická drsnost (Manning)

C ... rychloslotní součinitel
n ... Manningův souč. drsnosti
Manningův součini

Soustava čerpadel PARALELNĚ

Specifické případy při proudění v potrubí
hydraulický poloměr R
R= S/O
Čerpadla


Výtok do volna


Minimální velikost potrubí stoky pro veřejnou potřebu = DN250
Lokálně, např. Praha DN300
sklon
Tečné napětí > 4Pa

ρ ... průměrná měrná hmotnost (hustota) [kg/m3]
i ... sklon [m/m]
v_max
při kapacitním plnění max 5m/s
v odůvodněných případech 10 m/s s podm. použití odolných materiálů
pro návrh počítat n=0,014
bere v úvahu faktor spojů trub, zaústění přípojek
pro PP n=0,012
porovnání zapojení

Soustava čerpadel SÉRIOVĚ

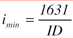
ID = vnitřní průměr potrubí [mm]
Plocha a Omočený obvod

v_opt = 3m/s
Otevřené velké nádrže


Paralelní potrubí


i min

Pracovní bod soustavy potrubí - čerpadlo

konkrétní dle Standardů

v_min = 0,7 m/s (0,5)