Lineární algebra 1
Created by Viktoria Pogorzhelska
Strukturální diagram pro lineární algebru 1

ortonormalni baze


Gram-Schmidtova ortogonalizace


Lineární nezávislost


Standartni skalarni soucin a norma



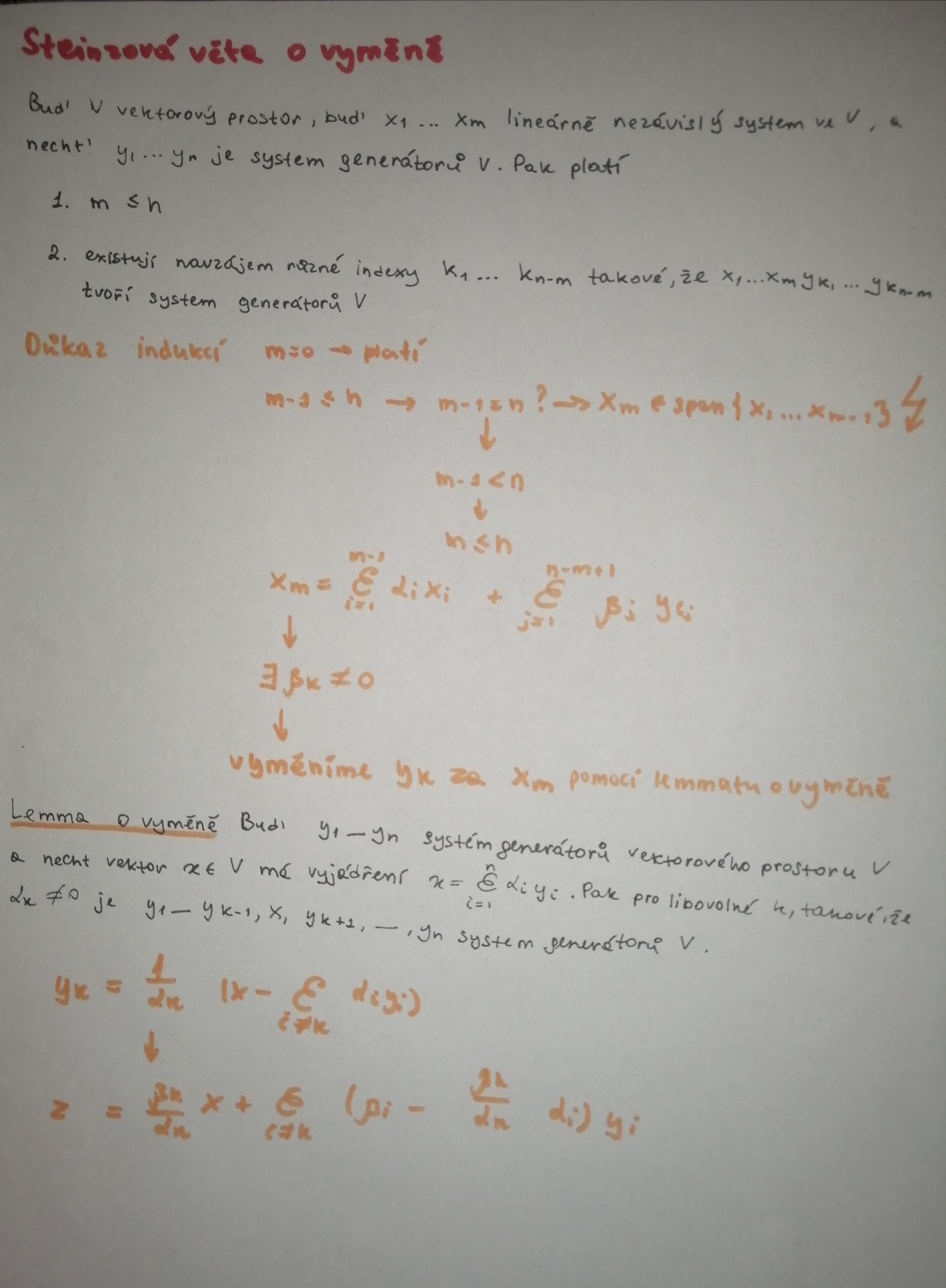
Steinitzova věta o výměně



ortogonalita



Báze



Dimenze



Lineárni obal


Lineární zobrázení


Ortogonalita Maticobych podprostoru


Lineární kombinace


Projekce



Vypočet vlastních čísel a vektorů




Invariant

Prostor lineárních zobrázení


Vektory


Grupa





Skládání lineárních zobrázení


Vektorový prostor


Vlastni cisla a vektory




Inverzní zobrázení



Matice lineárního zobrázení


Algebraické struktury


Pozitivní definitni matice






Charakteristický polinom




Izomorfizmus


Maticové podprostory


Podobnost


Adjungovana matice


Determinant








Laplaseův rozvoj



Matice projekce

Afinní prostory


Metoda nejmensich ctvercu


Těleso


Soon to be continued...
Maticový součin



Bilineární forma


Regulární matice


Inverzní


Jordanova normální forma


Cramerovo Pravidlo



Soustavy lineárních rovnic


Ortogonální matice


Speciální matice



Matice


Skalární soucin


Kvadratické formy









Permutační matice


Maticový zápis soustavy



Regulární upravy

Diagonalizovatelná matice



Rank(a) = 1


Kongruence


LU dekompozice


Rank(a)



Norma


Trojúhelniková matice


Gausova eliminace


Symetricka matice / Normaní matice




RR*
Schurův rozklad


REF a RREF



Gaussova–Jordanova eliminace

