What is 1ᵏ+2ᵏ+⋯+nᵏ?
Created by Pavel Klavík
Sums involving integers and their powers were studied for thousands of years. This OrgPage explores the general pattern: a sum of a polynomial of degree d from 1 to n is another polynomial of degree d+1 evaluated at n. An elegant proof hidden within Pascal's triangle is revealed.

Sum of polynomials is a polynomial
| 
| Pavel Klavík, PhDfounder and CTO of OrgPad |
1+2+3+4+⋯+n

1+3+5+7+9+⋯+(2n-1)

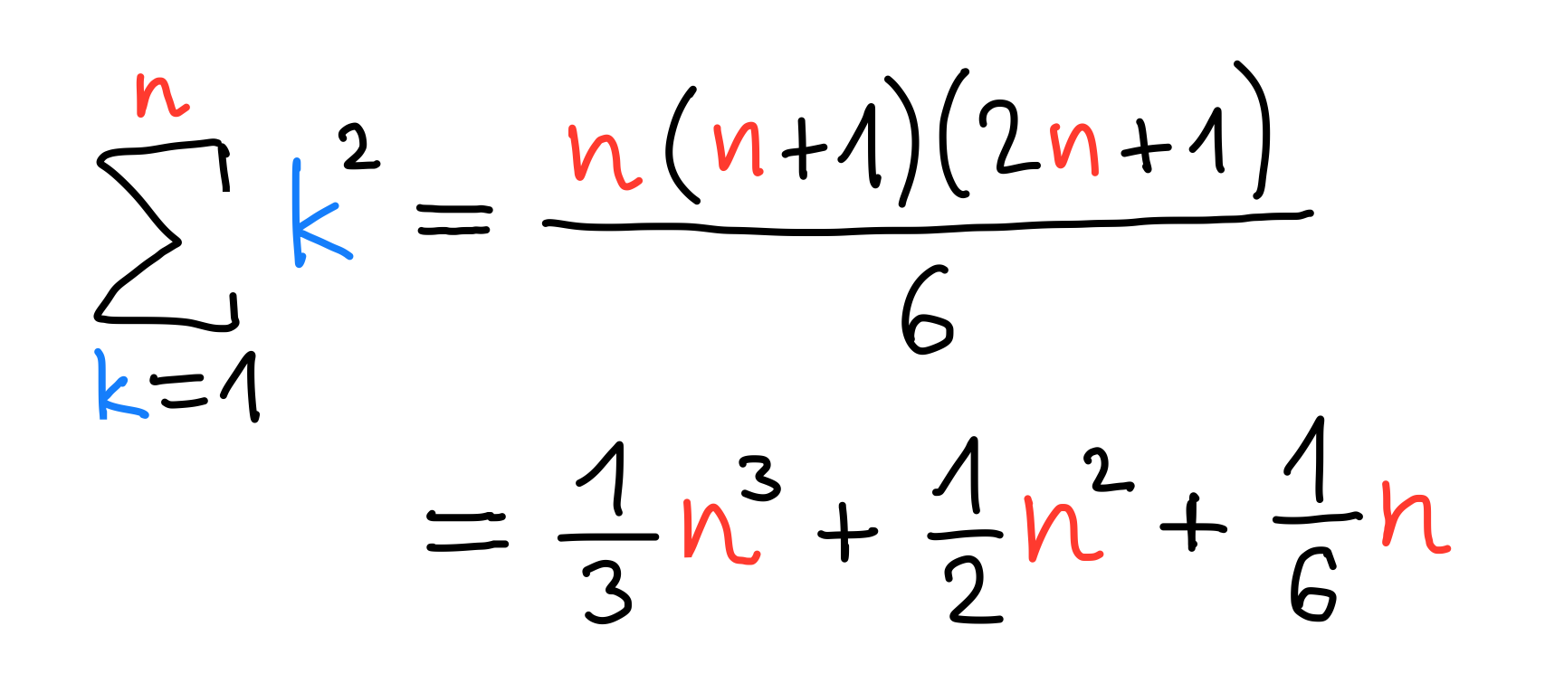
1²+2²+3²+4²+⋯+n²

1³+2³+3³+4³+⋯+n³

Pascal triangle
1
1
1
1
2
1
1
3
3
1
1
4
6
4
1
1
5
10

10
5
1
1
6
15
20
15
6
1
Picture proof
Picture proof

Pyramidal numbers

Place numbers into a triangle

Rotated 120 degrees

Rotated -120 degrees

Adding all together

Picture proof

Summing multiplication table by columns
Summing multiplication table by L shapes
What is the pattern?
General statement

Computing coefficients of Q
System of linear equations

Gauss-Jordan elimination
1) Only needed for some polynomials P

2) Prove it for these polynomials P
Linearity for adding

Linearity for multiplying

Combining sum of odd numbers
1+1+1+⋯+1=n

All degree 3 polynomials done
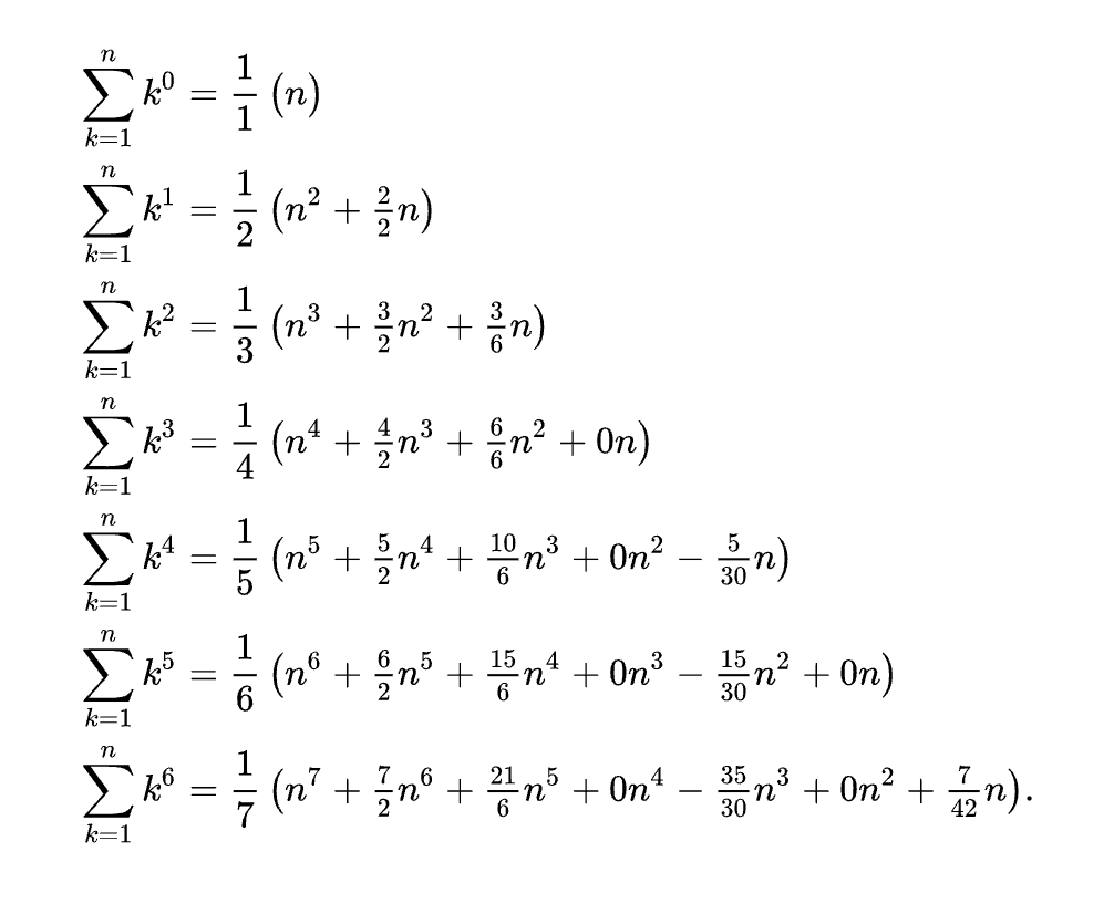
Sums of powers (Faulhaber's formula)

Standard proof using generating functions


Any degree 4 polynomial helps
Implies 1⁴+2⁴+3⁴+⋯+n⁴

Number of paths
All 10 paths

Addition of paths

Extended paths with a right step

Extended paths with a left step

k=0
n=0
k=1
n=1
k=2
n=2
k=3
n=3
k=4
n=4
k=5
n=5
k=6
n=6
n choose k

Computing directly
General formula
Patterns within Pascal triangle
Vertical symmetry
Sum of a row
Sum of odd/even indexes in a row
Sum of squares of a row
Fibonacci numbers
Highlighting all odd numbers
Serpinski triangle

What about the hockey stick?
Hockey stick identity
Hockey stick identity for d=4
Deriving formula for 1⁴+2⁴+3⁴+⋯+n⁴
Previously known sums

OrgPad

20% off
POLYNOMIALS