DM
Created by Nataliia Korop

Malá poznámka o způsobu zápisu permutace

pomocí principu bijekce
Tvrzení o počtu sudých a lichých podmnoži
- Nechť n ≥ 1 každá n-prvková množina má právě 2n-1 podmnožin sudé velikosti
- S = {A ⊆ N | |A| sudé}, L = {A ⊆ N | |A| liché}
Příklad: X = {1, 2}, S = {∅, {1, 2}}, L = {{1}, {2}}
Důkaz: sestrojím bijekci f mezi S a L, pak musí dle principu bijekce platí |L| = |S|, zvolíme libovolný x ∈ N, ∀ A ∈ S f(A) = A XOR {x} = A ∪ {x} pokud x !∈ A nebo A \ {x} pokud x ∈ A (stejně zprava doleva)

Princip bijekce
- pokud mezi konečnými množinami A a B existuje bijekce, tak mají stejný počet prvků. Speciálně tedy, bývá jedno, jestli [n] je konkretní množina {1, ..., n} nebo libovolná jiná n=prvková množina
- Jinými slovy: pokud ∃ f: A -> B, A, B jsou konečné a f je bijekce, pak |A| = |B|
Důkaz: f je bijekce, a proto je na a zároveň prostá:
- (na) ∀ b ∈ B ≥ 1 šipek
- (prostá) ∀ b ∈ B ≤ 1 šipek => ∀ b ∈ B ∃! šipka z A = # šipek do B = |B| = # šipek z A = |A|

Tvrzení o počtu funkcí
Nechť N je nějaká n-prvková množina, M je m-prvková množina, m≥1, potom počet všech zobrazení (neboli funkcí) f: N -> M je mn
Důkaz: indukcí (podle n) pro každý prvek x ∈ N máme m různých možností jak definovat f(x). x' != x volba f(x') je nezávislá na volbě f(x)

Úvod do kombinatoriky
[n] = {1, 2, ..., n}
nk = n*(n-1)*...*(n-k+1) - klesající mocnina
n0 = 1, jelokož je to prázdný součin
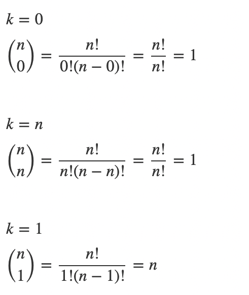
Paskalův trojúhelník
Tvrzení o počtu prostých funkcí
počet prostých funkcí z n-prvkové množiny do m-prvkové množiny: # {f: [n] -> [m] | f prostá} = mn = m*(m-1)*...*(m-n+1)
Důkaz:
pro f(x1) máme m možností
pro f(x2) máme m-1 možností (M\f(x1))
...
pro f(xn) máme m-n+1 možností (M\{f(x1), ..., f(x n-1)})
-> celkem m*(m-1)*...*(m-n+1) = mn
Pár definic
- permutace na n-prvkové množině N je bijekce z N -> N. # permutací N je nn = n*(n-1)*...*(n-n+1) = n!
- neuspořádáná k-tice z N = k-prvková podmnožina N
- (N nad k) k-prvkové podmnožiny N (N je množina)
- |(N nad k)| = (n nad k) = (n!)/((n-k)!*(k!)), kde n je počet prvků množiny N
Tvrzení o počtu podmnožin
Libovolná n-prvková množina X má právě 2n podmnožin
Důkaz: podmnožině A ⊆ N přiřádíme její charakteristickou funkci cA : N -> {1, 0} a ∈ N cA(a) = 1 a ∈ A nebo 0 a !∈ A. Mezi funkcemi z N -> {1, 0} a podmnožinami N je bijekce, tedy: stačí spočítat počet funkcí z N -> {1, 0} (# podmnožin je stejný)
podle tvrzení o počtu funkcí máme, že # funkcí: N -> {1, 0} = 2n

Binomická věta
Počet funkcí
- počet funkcí z n-prvkové množiny N do m-prvkové množiny M: #f: N -> M = mn, pro n = |N|, m =|M| (nebo jiný zápis: #f: [n] -> [m] = mn)
- ∀ z n prvků si nezávisle na ostátních múžeme vybrat m možnosti, kam se zobrazí

Některé vlastnosti kombináčních čísel (binomický koeficient)



- existuje právě jedna prázdná množina
- existuje jeda plná množina
- existuje n 1-prvkových podmnožin
- každá (n-k)-prvková množina je určena svými chybějícimi prvky
- k-prvkových podmnožin n-prvkové množiny je dtejně jako podmnožin s n-k prvky
Tvrzení o počtu k-prvkových podmnožin z n-prvkové množiny
# {A ⊆ N | |A| = k} = nk/(k!) = (n*(n-1)*...*(n-k+1))/(k!) = (k nad n) (binomický koeficient)
Důkaz: pomocí počítání 2 způsoby. Počítáme uspořádáné k-tice bez opakování
1. způsob: úspořáadaných k-tic bez opakování je jako prostých funkcí f: N -> [k] ... nk
2. způsob: vebereme neuspořádananou k-tici ((n nad k) způsobů) a pak k! způsobů jak je uspořádat -> (n nad k)*k!
a proto nk = (n nad k)*k!/k!

Důkaz 5.????????
Princip sudosti
Pro každý (konečný) graf G platí
∑v∈ V(G) (G)deg v = 2*|E(G)|
(jelikož každá hrana má dva vrcholy a tuhle hranu započítíáme pro každý y těchto dvou vrcholů)
Trošočku o vzdalenosti v grafu
- d(u, v) ≥ 0
- d(u, v) = 0 <=> u = v
- d(u, v) = d(v, u)
- d(u, v) ≤ d(u, w) + d(w, v)
Malá poznámka o prostém zobrazení

Množinové operace s relacemi ?????
Relace musejí být ze stejné množiny na stejnou.
Spousta definic
vrcholy v1a v2 sousedí v G, jestliže v1v2 ∈ E(G) (jsou spojené hranou)
vrchol v a hrana e jsou incidentní jestliže v ∈ e (vrchol v je jedním z konců hrany)
psloupnost v0, e1, v1, e2, ..., en, vn je sled (z v0 do vn délky n) jestliže vrcholy e1, ..., en jsou hrany a ei je incidentní s vi-1 a vi pro i = 1, 2, ..., n
sled je uzavřený, pokud v0=vn
Sled je:
- tah, jestliže hrany e1, ..., en jsou navzájem různé (nelze procházet hranami, kterými už šel)
- cesta, jestliže vrcholy v0, ..., vn (a tedy i hrany e1, ..., en) jsou navzájem různé (nelze jít i vrcholy, kterými dříve šel)
- kružnice, jestliže jestliže vrcholy v0, ..., vn (a tedy i hrany e1, ..., en) jsou navzájem různé a v0=vn
Vlastnosti relace R ⊆ X*X
- Reflexivní: aRa pro každé a∈X (každý bod je v relaci sam se sebou, jinými slovy musí vést šipka z bodu do sebe samého
- Symetrická: pro každé a a b z X platí, že pokud a je v relaci s b, je i b v relaci s a: aRb => bRa
- Slaběantisymetrická: platí-li pro všechna a a b z X, že jestliže a je v relaci s b a b je v relaci s a, pak a = b: aRb ^ bRa => a=b
- Antisymetrická: pro žádné a, b ∈ X neplatí zároveň aRb a bRa
- Tranzitivní:je-li prvek a v relaci s b a b v relaci s c , pak je a v relaci s c (vede-li šipka z vrcholu a do b a (jiná) šipka z b do c, povede šipka i z a do c)
Příklady relace
- Relace rovnosti (diagonální relace) na množině M: M={1, 2, 3, 4} R={(1, 1), (2, 2), (3, 3), (4, 4)}
- xRy, pokud x|y: R={(1, 1), (2, 2), (3, 3), (4, 4), (1, 2), (1, 3), (1, 4), (2, 4)}
- Pokud máme množiny A a B, A*B je univerzální relace
- Prázdná relace
Ještě více definic
- u ∽ v, pokud mezi u a v existuje cesta ( ∽ je ekvivalence)
- Třídy ekvivalence ∽ jsou zvany komplementy souvislosti G
- Graf je souvislý pokud ∀ u, v ∈ V(G) u ∽ v (jinými slovy ∽ má jenom jednu třídu ekvivalence) (ještě jinými slovy to znamená, že z každého vrcholu lze dojít do jakehokoliv jiného vrcholu po hranách v tomto grafu)
- Vzdalenost v grafu: d(u, v) je délka nekratší cesty mezi u a v (pokud u !∽ v, tak d(u, v) = ∞
- Stupeň vrcholu v je deg(v) = počet hran incidentních s vrcholem v
- Bipartitní graf G: ∃ rozklad množiny V(G) na parity X, Y, t.ž. E(G) ⊆ {{x; y} | x ∈ X, y ∈ Y} (jnými slovy vrcholy grafu jde rozdělit na dvě skupiny tak, že vrcholy z jedné skupiny nebudou sousedit)
Druhy funkce
- prostá funkce (injektivní), jestliže pro x != y je f(x) != f(y): vchází do jednoho bodu nejvýš jedna šipka
- funkce na (surjektivní), jestliže pro každé y ∈ Y existuje x ∈ X splňující f(x)=y: vchází do jednoho bodu aspoň jedna šipka
- vzájemně jednoznačná funkce (bijektivní), jestliže f je prostá a na: vchází do každého bodu právě jedna šipka
Funkce
- Funkce z množiny X do množiny Y je relace f ⊆ XxY, splňující dodatečnou podmínku, že pro každý prvek x ⊆ X existuje právě jediný prvek y ⊆ Y tak, že xfy
- Značení: f(x), xfy, f: X → Y funkce z množiny X do množiny Y
Poznámky
- Pokud máme množiny A a B, A*B je univerzální relace
- ∅ je také podmnožinou kartezského součinu
Skladání funkce
- Jsou-li f: X → Y a g: Y → Z funkce, potom můžeme definovat novou funkci h: X → Z předpisem: h(x) = g(f(x)), pro každé x ∈ X
Poznamka:
funkce: h(x) = g(f(x))
relace: g•f: X → Z
Příklady funkce
- sin: R → [-1, 1]
- sgn: R → {-1, 0, 1}
- f(a, b) ∈ Y, pro a ∈ A, b ∈ B
- f(x) = x je identita, diagonální relace
Důkazové techniky
1. Indukce
2. Sporem
3. Přímý
4.
Podgraf
- graf H je podgrafem G, jestliže V (H) ⊆ V (G) a E(H) ⊆ E(G) ∩ (V(H) nad 2) ??(jak napsat kombinacni cislo)
- graf H je indukovaný podgraf G, jestliže V(H) ⊆ V(G) a E(H) = E(G)∩ (V(H) nad 2) ( taky značíme G[V(H)] a říkáme, že je indukovaný vrcholy V(H)
- Doplňek grafu G je graf se stejnými vrcholy jako v grafu G, ale má všechny šipky kromě těch, které má původní graf G (je jakoby dopněním do úplného grafu)
Věta
Relace R
- Množina uspořádaných dvojic. Jsou-li X a Y množiny, nazývá se libovolná podmnožina kartezského součinu X * Y relací mezi X a Y.
- X=Y, pak jde o relaci na X, což je libovolná podmnožina R ⊆ X2
- Značení: xRy, (x, y) ∈ R
Kartezský součin X*Y
- Kartezský součin: X * Y: množina všech uspořádaných dvojic tvaru (x, y), kde x ∈ X, y ∈ Y
- X * Y = {(x, y); x ∈ X, y ∈ Y}
- X=Y=R, tak X*Y jsou všechny body v rovině
- Může být i X3 = X*X*X (x, y, z)
neuspořádaná/uspořádaná dvojice
- neuspořádaná dvojice: {x, y} = {y, x}, je-li x=y, pak {x, y} je jednoprvková množina
- uspořádaná dvojice: (x, y) != (y, x) (záleží na pořádí)
Graf
- je uspořádaná dvojice (V, E), kde V je množina vrcholů a E je množina dvoubodových podmnožin (hran) množiny V
- značení: G = (V, E), |V| = n, |E| = m
- množina vrcholů V(G), hran E(G)
počet různých grafů???????
Izomorfismus
- Dva grafy jsou izomorfní, jestliže existuje bijekce f: V(G1) -> V(G2) t.ž. uv ∈ E(G1) <=> f(u)f(v) ∈ E(G2) (jinými slovy G1 a G2 se líší jenom pojmenováním vrcholů)
- Značení: G1 ⋍ G2
- Relace izomorfismu je ekvivalence (podle ověření vlastností ekvivalence)
Oerace na relacích
- Inverze: pro relaci R mezi X a Y je R-1={(y, x): (x, y) náleží R} (šipka vede odtud, kam vedla dříve).
- Skládání: pro relaci R1 mezi X a Z a relaci R_2 mezi Z a Y je R1•R2 = {(x, y) : (existuje z) (x, z) náleží R1 ^ (z, y) náleží R2} relace mezi X a Y. ( x bude v relaci s z, když bude existovat jakoby můstek vztahu s jiným prvkem, šipka vede od x k nějakému z a pak od tohoto z do y. Stejně to může být i pro více než dvě relace)
- Skládání relace není komutativní: R1•R2 != R2•R1
Tvrzení
Nechť f: X → Y a g: Y → Z jsou funkce
- Jsou-li f, g prosté, je g•f funkce prostá
- Jsou-li f, g na, je g•f funkce na
- Jsou-li f, g vzájemně jednoznačné, je g•f funkce vzájemně jednoznačná
- Pro každou funkci f: X → Y existuje množina Z, prostá funkce h: X → Z tak, že f = h•g (každou funkci lze napsat jako složení funkce prosté a funkce na)
Každá neprázdná konečná ČUM má aspoň jeden minimální prvek.
DŮKAZ
↓ pro částečné uspořádání
- Pro částešné uspořádání ≼ na množině X definujme ↓ ≼ x = {y : y ∈X, y ≺x}
- Necht’ je částečné uspořádání na množině X a x, y ∈ X. Pak x ≼ y právě když ↓ ≼ x ⊆ ↓ ≼ y. Navíc, jestliže x != y, pak ↓ ≼ x != ↓ ≼ y
Porovnatelnost v ČUM
- Porovnatelné prvky v částečném uspořádání ≼ jsou ty, pro které platí: x ≼ y nebo y ≼ x, a tvoří řetězec
- Neporovnatelné prvky jsou ty, pro které platí: x !≼ y a y !≼ x, a tvoří spolu antiřetězec. Jinými slovy, antiřetězec je množina navzájem neporovnatelných prvků.
- Příklad: relace ” x dělí y“ je uspořádáním na N. Pro n=9, kde n je [n], řetězec je {1, 2, 4, 8} a antiřetězec je {5, 7, 9, 8, 6}
Typy relace
- Ekvivalence: relace R na množině X je ekvivalence pokud R je reflexivní, symetrická a tranzitivní
- Částečné uspořádání: pokud R je reflexivní, slabě antisymetrická a tranzitivní.
- Ostré částečné uspořádání: R je antisymetrická a tranzitivní. ( rozdíl mezi ostrým a obyčejným ču spočívá v tom, že pro obyčejné může být relace <= (nebo =>) a pro ostré musí být jenom < (>), tím je vyloučena reflexivita)
Příklady
Úplný graf na n vrcholech Kn: n >= 1 a každá dvojice je spojena hranou ( V (Kn) = {v1, . . . , vn} a E(Kn) = {vivj : 1 ≤ i < j ≤ n})
Cesta na n vrcholech Pn: Pn = ([n], {{1, 2}, {2, 3}, ..., {n-1, n}}) (vrcholů je o 1 navíc než hran)
Kružnice (cyklus) Cn na n vrcholech n >= 3: Cn = ([n], {{1, 2}, {2, 3}, ..., {n-1, n}, {n, 1}}) (poslední vrchol je spojen nejen s předposledním ale i s prvním)
Prázdný graf En: V(En) = {1, ..., n}, E(En) = ∅ (nemá hrany)
Orientovany graf: je dvojice G = (V, E), t.ž. V je množina vrcholů a E ⊆ V*V, t.j. hrany jsou šipky
Množiny
Základní množiny čísel:
1. N: přírozená čísla
2. Z: celá čísla
3. R: realná čísla
4. Q: racionální čísla
5. C: Komplexní čísla
- 2A = P(A) - množina všech podmnožin nějaké množiny, potenční množina (všechny možné podmnožiny, začinaje prázdnou množinou až do množiny obsahující všechny prvky vychozí množiny)
Oerace s množinami:
1. Sjednocení: A ⋃ B = {x | x ∈ A ∨ x ∈ B}
2. Průnik: A ⋂ B = {x | x ∈ A ∧ x ∈ B}
3. Rozdíl: A\B = {x ∈ A| x ∈/ B}
4. Doplněk: A' - všechny prvky, které nejsou v množině A
Spousta definic
- a a b jsou neporovnatelné , pokud a !≼ b a b !≼ a
- S ⊆ X je antiřetězec, pokud ∀ a, b ∈ S: a a b jsou neporovnatelné
- S ⊆ X je řetězec, pokud ∀ a, b ∈ S a ≼ b nebo b ≼ a
- a ∈ X je nejmenší, pokud ∀ b ∈ X: a ≼ b
- a ∈ X je minimální, pokud ∄ b ∈ X: b ≼ a
- a ∈ X je největší, pokud ∀ b ∈ X: b ≼ a
- a ∈ X je maximální, pokud ∄ b ∈ X: a ≼ b
Podrobněji o částečném uspořádání
- Uspořádáná množina je dvojice (X, R), kde X je množina a R je uspořádání na X.
Značení:
- a ≼ b, a pod b / a menší než b
- a ≺ b, pokud a ≼ b ∧ a != b, a ostře pod b
- a ⋟ b <=> b ⋞ a: obracená nerovnost
Částečně uspořádaná množina - ČUM
Tvrzení o třídách ekvivalence
Nechť R je ekvivalence, potom
- Pro každé a ∈ X platí a ∈ R[a]: třída nemůže být prázdná, jelikož sám prvek, který třídu určuje je v této třídě
- Jestliže a, b ∈ X a aRb, pak R[a] = R[b]: jestli se dva prvky jsou v relaci, pak jejich třídy jsou stejné.
- Třídy ekvivalence jednoznačně určují (popisují) relaci R: třídy ekvivalence jsou disjunktní (jinými slovy nemají společené prvky, a pokud mají, tak to jsou stejná třída), ale každý prvek spadá do nějaké třídy, což znamená, že společně třídy určují relaci R
Třídy ekvivalence
- nechť R je ekvivalence na množině X. Třída ekvivalence prvku a náleží X R[a] = {x: x náleží X, aRx}
- Třídu ekvivalence může reprezentovat jakýkoliv prvek, náležející této třídě
Ekvivalentní prvky - prvky, které jsou ve stejné třídě
Každé lineární uspořádání je částečné uspořádání
Lineární uspořádání
(úplné): ≼ je úplné uspořádání pokud ∀ a, b ∈ X a ≼ b ∨ b ≼ a
Příklad:
- ( N, ≤ )
- inkluze množin
- lexikografické uspořádání: ( A, ≤ ) lineární uspořádaná množina (abeceda) (pro X = {a, ... , z} (c, d) ≤ (e, a))
????????
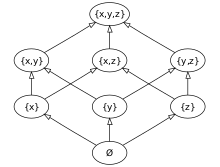
Hasseův diagram
obrázek, kde prvky x jsou body, z a do b vede šipka nahoru, pokud a ≼ b a zároveň neexistuje c: a ≼ b ≼ c (c != a, b)
- nekreslíme prvky, které jsou ve vztahu sam se sebou (bez šipek označujících reflexivitu)
- nekreslíme prostředního předchůdce
- od nejmenšího k většímu
Hasseův diagram pro P({x, y, z})

Bezprostřední předchůdce (BP)
Nechť (X, ≼) je uspořádaná množina. Řekneme, že prvek x je bezprostřední předchůdcem prvku y, pokud platí:
- x ≺ y
- neexistuje žádné t ∈ X takové, že x ≺ t ≺ y
Příklad: pro ( N, < ) 5 je BP prvku 6, ale 3 není BP 5, protože mezi nimi je 4
Ostré uspořádání
Pokud tato relace je ⊂
- ireflexivní (antireflexivní): ¬ (a ⊂ a)
- slabě antisymetrická: (a ⊂ b) ⇒ ¬ (b ⊂ a)
- tranzitivní: a ⊂ b ∧ b ⊂ c ⇒ a ⊂ c
Jediný rozdíl spočívá v tom, že teď a nemůže být v relaci samo se sebou ∀ a ∈ X (množina, na které je relace)
Kombinatorické počítání
Značení
- [n] := {1, . . . , n}
- nk := n ·(n −1) ·. . . ·(n −k + 1) (klesající mocnina)
- n0 = 1, (prázdný součin)
Počet funkcí