6) Pravděpodobnost
Created by Nikol Vypior (osobní/personal)






Podmíněné pravděpodobnosti

Náhodný pokus





Náhodný jev

Pravděpodobnost jevu

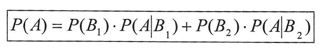
Celková pravděpodobnost





Operace s pravěpodobností
Binomické rozdělení / Bernoulliovo schéma

Sčítání pravděpodobností

Násobení pravděpodobností


